你好!欢迎来到ChemicalBook。
登录
注册
退出
我的ChemicalBook
发布产品
产品管理
发布供应信息
黄金产品设置
大货产品设置
直通车产品设置
发布供应信息
结构式搜索
返回ChemicalBook首页
>
CAS数据库列表
>58546-61-5
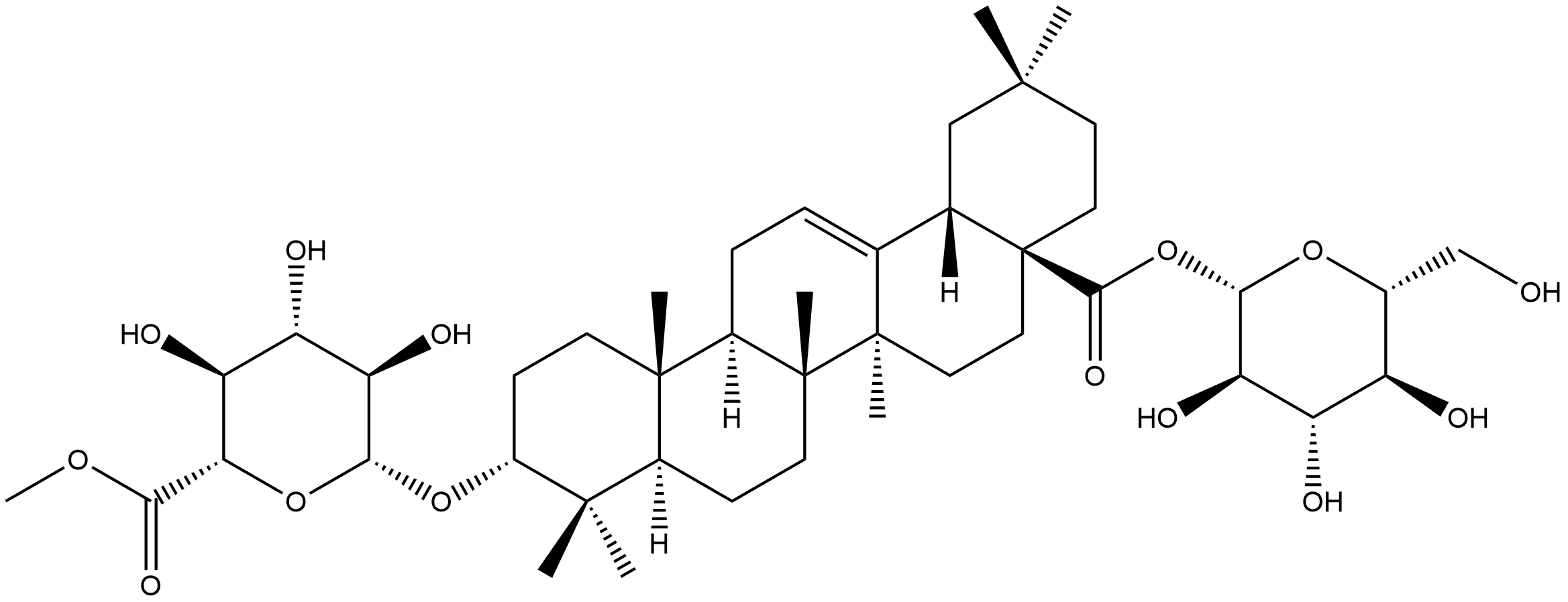
58546-61-5
英文名称
β-D-Glucopyranosiduronic acid, (3β)-28-(β-D-glucopyranosyloxy)-28-oxoolean-12-en-3-yl, methyl ester
CAS
58546-61-5
分子式
C43H68O14
58546-61-5 结构式
基本信息
基本信息
英文别名
β-D-Glucopyranosiduronic acid, (3β)-28-(β-D-glucopyranosyloxy)-28-oxoolean-12-en-3-yl, methyl ester
"58546-61-5"
相关产品信息