返回ChemicalBook首页>CAS数据库列表>646997-09-3

646997-09-3

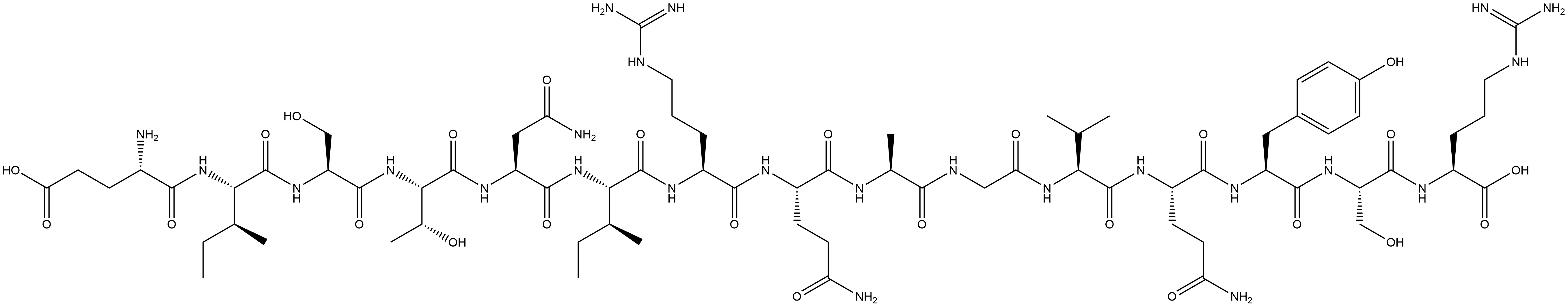
中文名称 GLU-ILE-SER-THR-ASN-ILE-ARG-GLN-ALA-GLY-VAL-GLN-TYR-SER-ARG
英文名称 CFP10 (71-85)
CAS 646997-09-3
分子式 C72H120N24O25
分子量 1721.87
MOL 文件 646997-09-3.mol
646997-09-3 结构式 646997-09-3 结构式

基本信息

中文别名
生物活性多肽CFP10 (71-85)
H-GLU-ILE-SER-THR-ASN-ILE-ARG-GLN-ALA-GLY-VAL-GLN-TYR-SER-ARG-OH
英文别名
CFP10 (71-85)
EISTNIRQAGVQYSR
GLU-ILE-SER-THR-ASN-ILE-ARG-GLN-ALA-GLY-VAL-GLN-TYR-SER-ARG

物理化学性质

密度1.52±0.1 g/cm3(Temp: 20 °C; Press: 760 Torr)(Predicted)
酸度系数(pKa)3.23±0.10(Predicted)
形态Solid
颜色White to off-white
序列Glu-Ile-Ser-Thr-Asn-Ile-Arg-Gln-Ala-Gly-Val-Gln-Tyr-Ser-Arg

常见问题列表

概述
CFP10 (71–85) 是一种有生物活性的肽。(CFP1071–85,通过表达多种 MHC II 类和 I 类分子的人的 CD4+ 和 CD8+ T 细胞引发 IFN-γ 产生和 CTL 活性)
"646997-09-3" 相关产品信息