返回ChemicalBook首页>CAS数据库列表>6711-29-1

6711-29-1

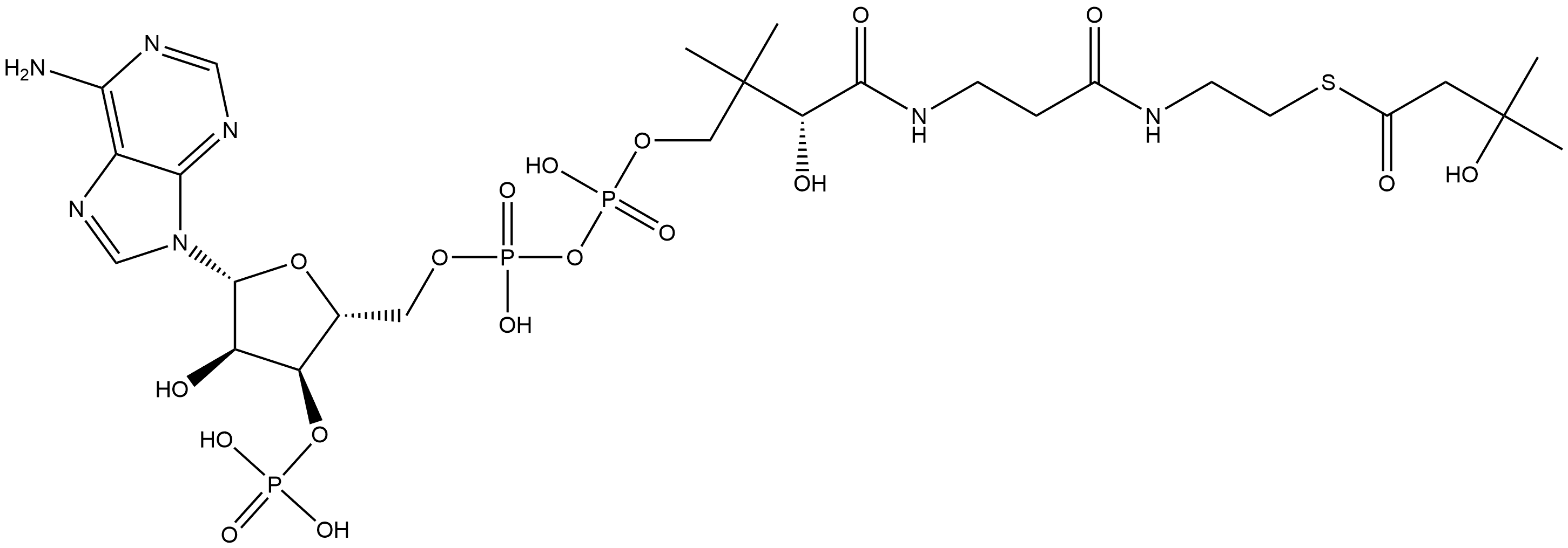
英文名称 Coenzyme A, S-(3-hydroxy-3-methylbutanoate)
CAS 6711-29-1
分子式 C26H44N7O18P3S
分子量 867.65
MOL 文件 6711-29-1.mol
更新日期 2025/09/30 00:15:14
6711-29-1 结构式 6711-29-1 结构式

基本信息

英文别名
3-Hydroxyisovaleryl-CoA
Coenzyme A, S-(3-hydroxy-3-methylbutanoate)
所属类别
医药中间体:杂环化合物

物理化学性质

密度1.82±0.1 g/cm3(Predicted)
酸度系数(pKa)1.16±0.50(Predicted)
InChIKeyPEVZKILCBDEOBT-CITAKDKDSA-N
SMILESO[C@@H]1[C@@H]([C@H](O[C@H]1N1C=NC2=C(N=CN=C12)N)COP(O)(=O)OP(O)(=O)OCC(C)(C)[C@@H](O)C(=O)NCCC(=O)NCCSC(=O)CC(O)(C)C)OP(O)(O)=O
"6711-29-1" 相关产品信息