返回ChemicalBook首页>CAS数据库列表>820259-65-2

820259-65-2

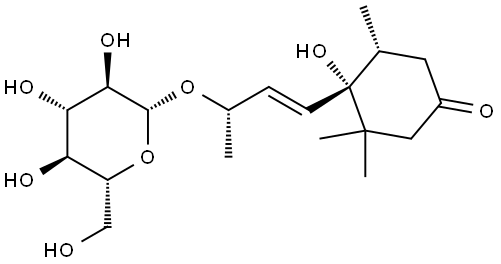
英文名称 Cyclohexanone, 4-[(1E,3S)-3-(β-D-glucopyranosyloxy)-1-buten-1-yl]-4-hydroxy-3,3,5-trimethyl-, (4S,5R)-
CAS 820259-65-2
分子式 C19H32O8
分子量 388.45
MOL 文件 820259-65-2.mol
820259-65-2 结构式 820259-65-2 结构式

基本信息

英文别名
Cyclohexanone, 4-[(1E,3S)-3-(β-D-glucopyranosyloxy)-1-buten-1-yl]-4-hydroxy-3,3,5-trimethyl-, (4S,5R)-

物理化学性质

沸点579.130±50.00 °C(Press: 760.00 Torr)(predicted)
密度1.303±0.10 g/cm3(Temp: 25 °C; Press: 760 Torr)(predicted)
酸度系数(pKa)12.881±0.70(predicted)
"820259-65-2" 相关产品信息