你好!欢迎来到ChemicalBook。
登录
注册
退出
我的ChemicalBook
发布产品
产品管理
发布供应信息
黄金产品设置
大货产品设置
直通车产品设置
发布供应信息
结构式搜索
返回ChemicalBook首页
>
CAS数据库列表
>835653-81-1
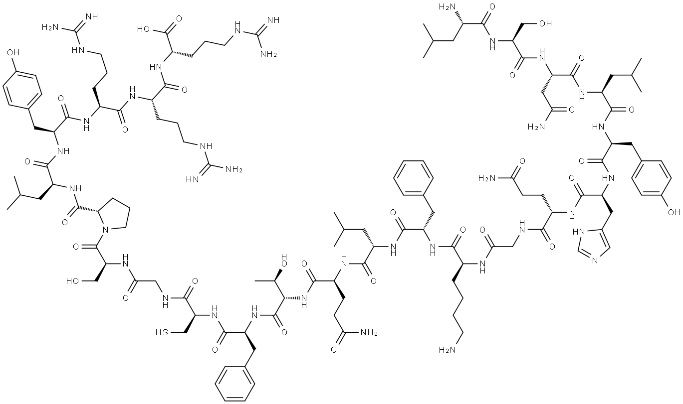
835653-81-1
中文名称
磷酸化肽底物多肽LKBtide
英文名称
LKBtide
CAS
分子式
C126H194N38O32S
分子量
2785.19
MOL 文件
835653-81-1.mol
835653-81-1 结构式
基本信息
物理化学性质
基本信息
中文别名
磷酸化肽底物多肽LKBtide
英文别名
LKBtide
LKB1/STK11 Substrate Peptide
物理化学性质
密度
1.481±0.14 g/cm3(Temp: 25 °C; Press: 760 Torr)(predicted)
"835653-81-1"
相关产品信息