返回ChemicalBook首页>CAS数据库列表>865778-47-8

865778-47-8

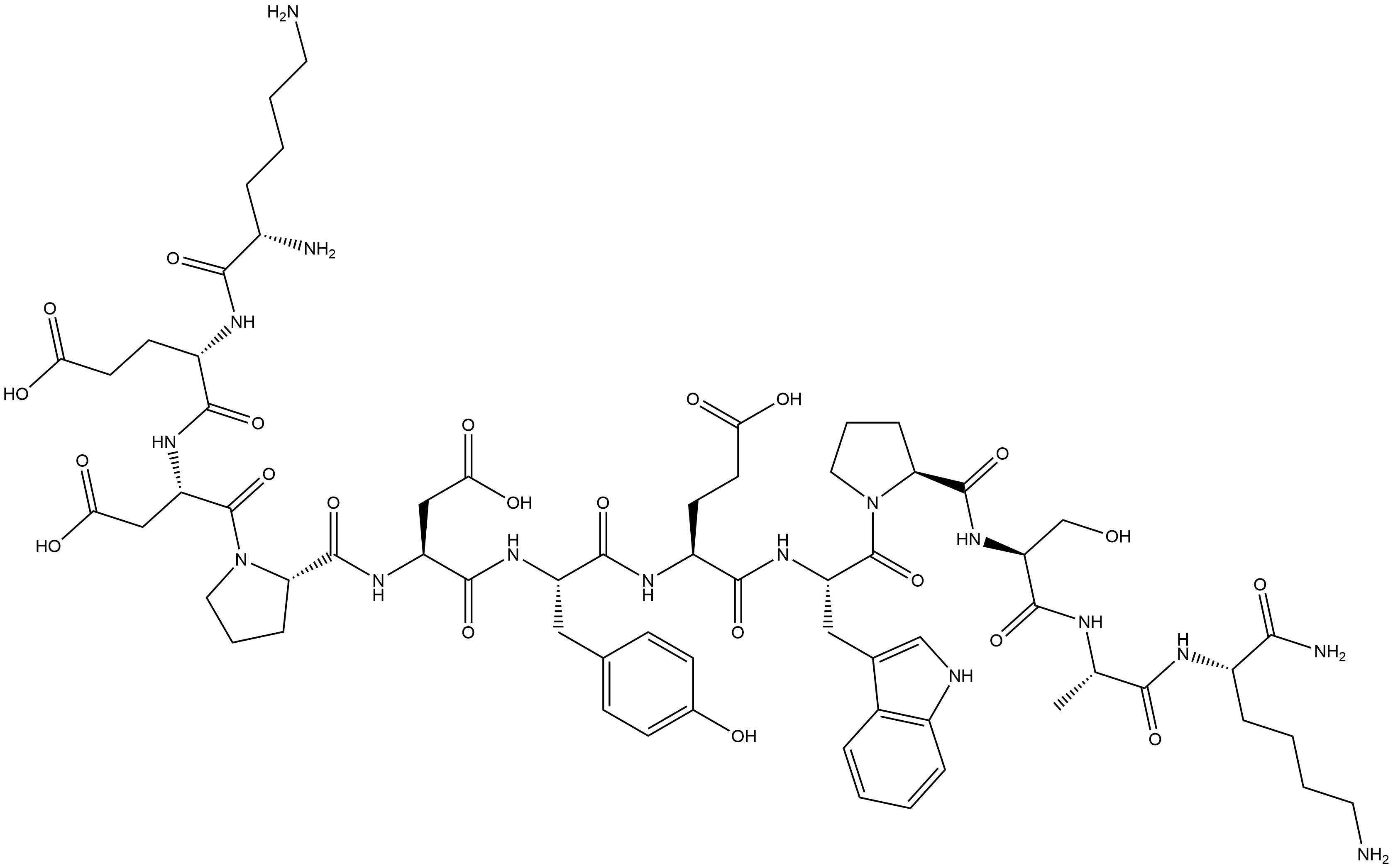
中文名称 SYK激酶底物 Syk Kinase Peptide Substrate
英文名称 L-Lysinamide, L-lysyl-L-α-glutamyl-L-α-aspartyl-L-prolyl-L-α-aspartyl-L-tyrosyl-L-α-glutamyl-L-tryptophyl-L-prolyl-L-seryl-L-alanyl-
CAS 865778-47-8
分子式 C66H94N16O22
分子量 1463.55
MOL 文件 865778-47-8.mol
865778-47-8 结构式 865778-47-8 结构式

基本信息

中文别名
SYK激酶底物 Syk Kinase Peptide Substrate
英文别名
L-Lysinamide, L-lysyl-L-α-glutamyl-L-α-aspartyl-L-prolyl-L-α-aspartyl-L-tyrosyl-L-α-glutamyl-L-tryptophyl-L-prolyl-L-seryl-L-alanyl-

物理化学性质

沸点1923.8±65.0 °C(Predicted)
密度1.416±0.06 g/cm3(Predicted)
酸度系数(pKa)4.21±0.10(Predicted)
序列Lys-Glu-Asp-Pro-Asp-Tyr-Glu-Trp-Pro-Ser-Ala-Lys-NH2

常见问题列表

生物活性
Syk Kinase Peptide Substrate 是Syk 激酶多肽底物。
"865778-47-8" 相关产品信息