874195-61-6
中文名称
氟酮磺草胺
英文名称
TRIAFAMONE, PESTANAL(R), ANALYTICAL STANDARD
CAS
874195-61-6
分子式
C14H13F3N4O5S
分子量
406.34
MOL 文件
874195-61-6.mol
874195-61-6 结构式
基本信息
中文别名
三法莫酮化合物 T34925
英文别名
TriafamoneBCSBX60309
BCS BX60309
BCS-BX60309
TRIAFAMONE, PESTANAL(R), ANALYTICAL STANDARD
Methanesulfonamide, N-[2-[(4,6-dimethoxy-1,3,5-triazin-2-yl)carbonyl]-6-fluorophenyl]-1,1-difluoro-N-methyl-
物理化学性质
沸点549.1±60.0 °C(Predicted)
密度1.506±0.06 g/cm3(Predicted)
蒸气压0-0Pa at 20-50℃
酸度系数(pKa)-0.19±0.10(Predicted)
形态Powder
LogP1.5-1.6 at 22-23℃ and pH4-9
表面张力71.23mN/m at 40mg/L and 20℃
常见问题列表
简介
Triafamone,试验代号AE1887196、BCS-BX60309,是由拜耳公司研制的磺酰胺类水稻田除草剂。 化学名称为N-[2-[(4,6二甲氧基1,3,5-三嗪-2基)羰基]-6-氟苯基]-1,1-二氟-N-甲基甲磺酰 2'-[(4,6-dimethoxy-1,3,5-triazin-2-yl)carbonyl]-1,1,6'-trifluoro-N-methylmethanesulfonanilide.
理化性质
Triafamone为白色粉末,熔点105.6℃,蒸气压6.4×10-6Pa(20℃),Henry常数6.3×10-5Pa·m3/mol(20℃),水中溶解度(20℃,g/L):0.036(pH4),0.033(pH7),0.034(pH9)。KowlgP(23℃):1.5(pH4、7),1.6(pH9)。
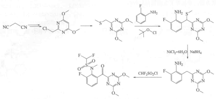
合成方法
Triafamone通过如下反应制得:
毒性
大、小鼠急性经口LD50>2000mg/kg,大鼠急性经皮LD50>2000mg/kg,对兔眼和皮肤无刺激,对豚鼠皮肤无致敏性。大鼠急性吸入毒性LC50>5mg/L。