返回ChemicalBook首页>CAS数据库列表>942936-54-1

942936-54-1

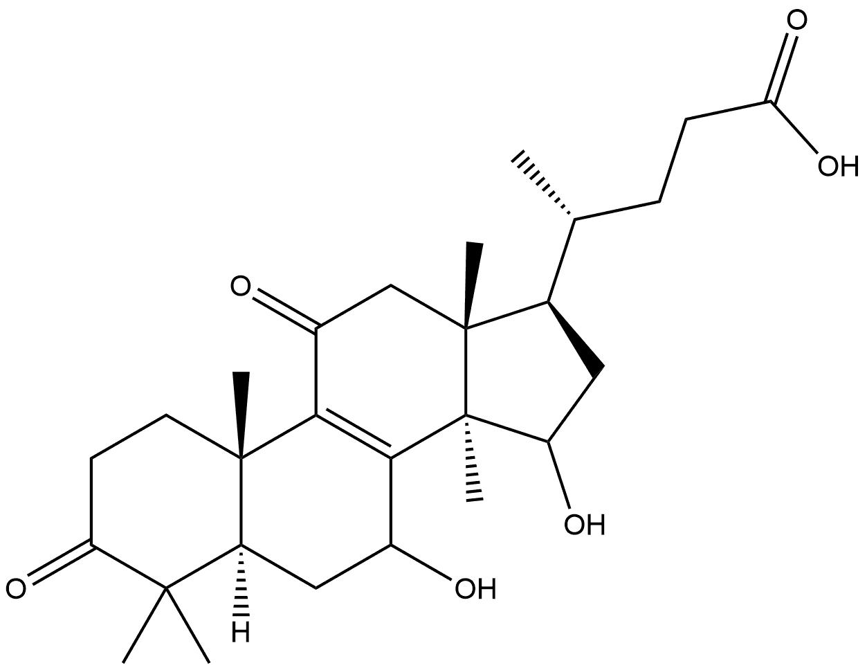
中文名称 Chol-8-en-24-oic acid, 7,15-dihydroxy-4,4,14-trimethyl-3,11-dioxo-, (5α)-
英文名称 Chol-8-en-24-oic acid, 7,15-dihydroxy-4,4,14-trimethyl-3,11-dioxo-, (5α)-
CAS 942936-54-1
更新日期 2024/09/18 11:49:23
分子式 C27H40O6
分子量 460.6
MOL 文件 942936-54-1.mol
942936-54-1 结构式 942936-54-1 结构式

基本信息

中文别名
7,15-二羟基-4,4,14-三甲基-3,11-二氧杂环戊烯-8-烯-24-酸
英文别名
7,15-Dihydroxy-4,4,14-trimethyl-3,11-dioxochol-8-en-24-oic acid
Chol-8-en-24-oic acid, 7,15-dihydroxy-4,4,14-trimethyl-3,11-dioxo-, (5α)-
(5alpha)-11-dioxo-7,15-dihydroxy-4,4,14-trimethyl-3-Chol-8-en-24-oic acid
Chol-8-en-24-oic acid, 7,15-dihydroxy-4,4,14-trimethyl-3,11-dioxo-, (5α)-
Chol-8-en-24-oic acid, 7,15-dihydroxy-4,4,14-trimethyl-3,11-dioxo-, (5alpha)-

物理化学性质

沸点641.9±55.0 °C(Predicted)
密度1.22±0.1 g/cm3(Predicted)
酸度系数(pKa)4.75±0.10(Predicted)

常见问题列表

概述
7,15-Dihydroxy-4,4,14-trimethyl-3,11-dioxochol-8-en-24-oic acid 是一种灵芝三萜类化合物(灵芝中重要的生物活性成分,可用于研究慢性肝病)。
"942936-54-1" 相关产品信息