返回ChemicalBook首页>CAS数据库列表>948994-16-9

948994-16-9

中文名称 哌虫啶
英文名称 Propyl4-((2-((4,6-dimethoxypyrimidin-2-yl)oxy)benzyl)amino)[3,5-2H]benzoate
CAS 948994-16-9
分子式 C17H23ClN4O3
分子量 366.84
MOL 文件 948994-16-9.mol
更新日期 2025/03/14 10:16:29
948994-16-9 结构式 948994-16-9 结构式

基本信息

英文别名
Paichongding
Paichongding (IPP)
Propyl4-((2-((4,6-dimethoxypyrimidin-2-yl)oxy)benzyl)amino)[3,5-2H]benzoate
(1-((6-chloropyridin-3-yl)methyl)-7-methyl-8-nitro-5-propoxy-1,2,3,5,6,7-hexahydroimidazo[1,2-α]pyridine)
Imidazo[1,2-a]pyridine, 1-[(6-chloro-3-pyridinyl)methyl]-1,2,3,5,6,7-hexahydro-7-methyl-8-nitro-5-propoxy-

物理化学性质

熔点130.2-131.9 °C
沸点502.3±50.0 °C(Predicted)
密度1.31±0.1 g/cm3(Predicted)
储存条件Refrigerator, under inert atmosphere
溶解度Chloroform (Slightly), Methanol
酸度系数(pKa)2.11±0.60(Predicted)
形态Solid
颜色Pale Yellow to Yellow

常见问题列表

化学性质

哌虫啶为淡黄色粉末,熔点130.2~131.9℃。蒸气压200mPa(20℃)。水中溶解度0.6g/L(25℃)。其他溶剂中溶解度(25℃,g/L):乙腈50,二氯甲烷55。

毒性

对雌、雄大鼠急性经口LD50>5000mg/kg;对雌、雄大鼠急性经皮LD50>5150mg/kg;经试验对家兔眼睛、皮肤均无刺激性,对豚鼠皮肤有弱致敏性。对大鼠亚慢(91d)经口毒性试验表明:最大无作用剂量为30mg/(kg·d),对雌、雄小鼠微核或骨髓细胞染色体无影响,对骨髓细胞的分裂也未见明显的抑制作用,显性致死或生殖细胞染色体畸变结果是阴性,Ames试验结果为阴。

作用机理

哌虫啶的杀虫机理主要是作用于昆虫神经轴突触受体,阻断神经传导作用。其具有很好的内吸传导功能,施药后药剂能很快传导到植株各个部位。对各种刺吸式害虫具有杀虫速度快、防治效果高、持效期长、广谱、低毒等特点。

应用

哌虫啶适用作物果树、小麦、大豆、蔬菜、水稻和玉米等多种作物,主要用于防治同翅目害虫,对稻飞虱具有良好的防治效果,防效达90%以上,对蔬菜蚜虫的防效达94%以上,明显优于已产生抗性的吡虫琳。目前登记主要用于防治水稻上的稻飞虱,10%悬浮剂推荐剂量为37.5~52.5g/hm2,使用方法为喷雾。

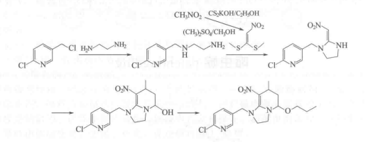
合成方法

以硝基甲烷或二氯乙烯为原料,经多步反应制得哌虫啶,具体反应如下:

哌虫啶的合成路线

"948994-16-9" 相关产品信息