返回ChemicalBook首页>CAS数据库列表>97145-52-3

97145-52-3

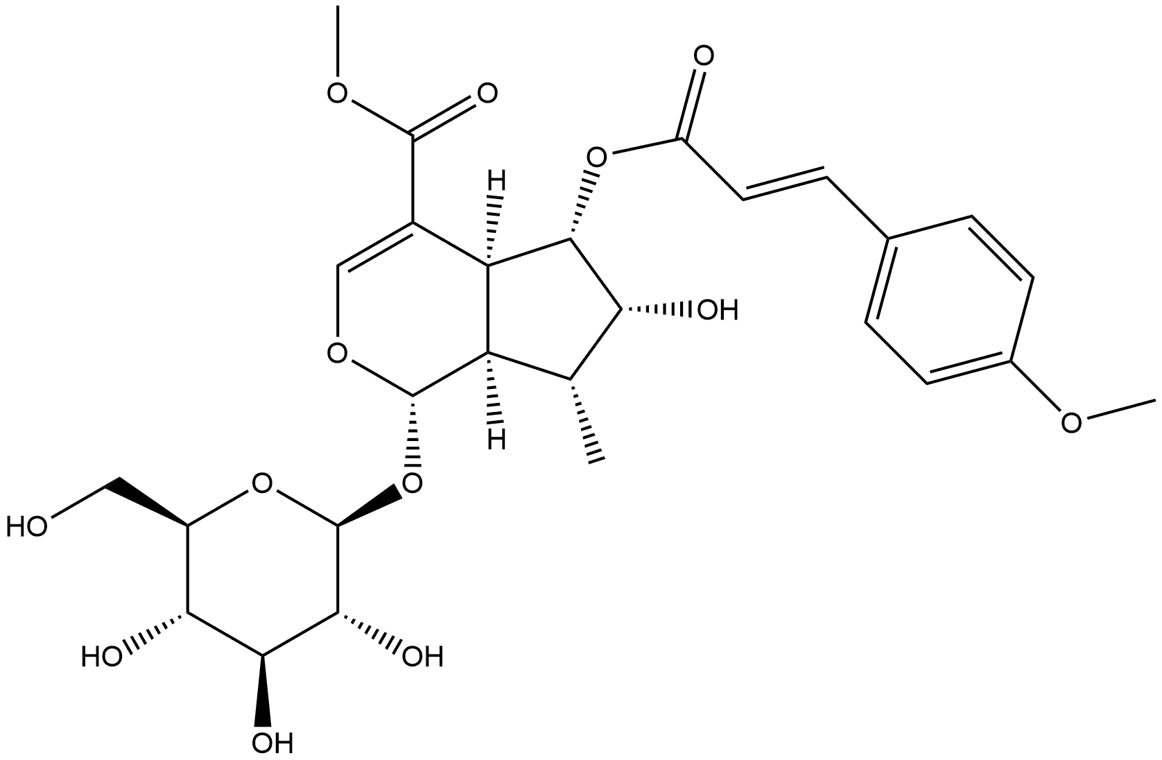
英文名称 Cyclopenta[c]pyran-4-carboxylic acid, 1-(β-D-glucopyranosyloxy)-1,4a,5,6,7,7a-hexahydro-6-hydroxy-5-[[(2E)-3-(4-methoxyphenyl)-1-oxo-2-propen-1-yl]oxy]-7-methyl-, methyl ester, (1S,4aS,5S,6R,7R,7aR)-
CAS 97145-52-3
分子式 C27H34O13
97145-52-3 结构式 97145-52-3 结构式

基本信息

英文别名
Cyclopenta[c]pyran-4-carboxylic acid, 1-(β-D-glucopyranosyloxy)-1,4a,5,6,7,7a-hexahydro-6-hydroxy-5-[[(2E)-3-(4-methoxyphenyl)-1-oxo-2-propen-1-yl]oxy]-7-methyl-, methyl ester, (1S,4aS,5S,6R,7R,7aR)-
"97145-52-3" 相关产品信息