| Soravtansine|SULFO-PDBA-DM4 基本信息 更多信息 |
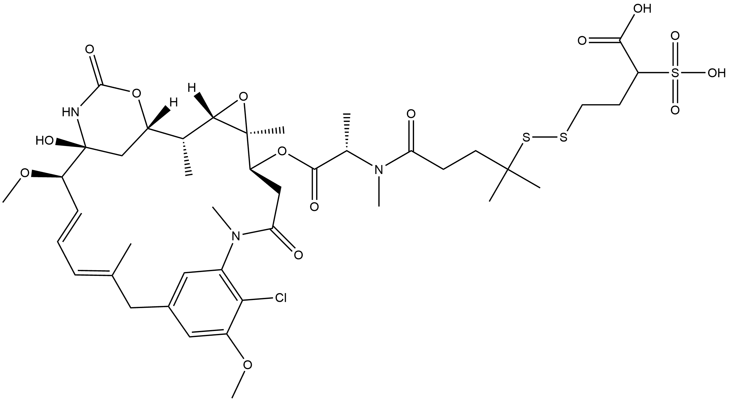
中文名称: | SULFO-PDBA-DM4 | 中文同义词: | 化合物 Sulfo-PDBA-DM4 | 英文名称: | Soravtansine | 英文同义词: | Soravtansine;Sulfo-PDBA-DM4;Maytansine, N2'-[4-[(3-carboxy-3-sulfopropyl)dithio]-4-methyl-1-oxopentyl]-N2'-deacetyl-;Sulfo-PDBA-DM4, 98%,;4-[(4-{[(2S)-1-{[(1S,2R,3S,5S,6R,16E,18E,20R,21S)-11-chloro-21-hydroxy-12,20-dimethoxy-2,5,9,16-tetramethyl-8,23-dioxo-4,24-dioxa-9,22-diazatetracyclo[19.3.1.11?,1?.03,?]hexacosa-10,12,14(26),16,18-pentaen-6-yl]oxy}-1-oxopropan-2-yl](methyl)carbamoyl}-2-methylbutan-2-yl)disulfanyl]-2-sulfobutanoic acid | CAS号: | 1461704-01-7 | 分子式: | C42H60ClN3O15S3 | 分子量: | 978.58 | EINECS号: | |  |
|
按国家浏览Soravtansine国外供应商 |
中国供应商 |
|
|
建议您优先选择企业会员,我们对企业会员产品有严格审核。 |
|
1
|