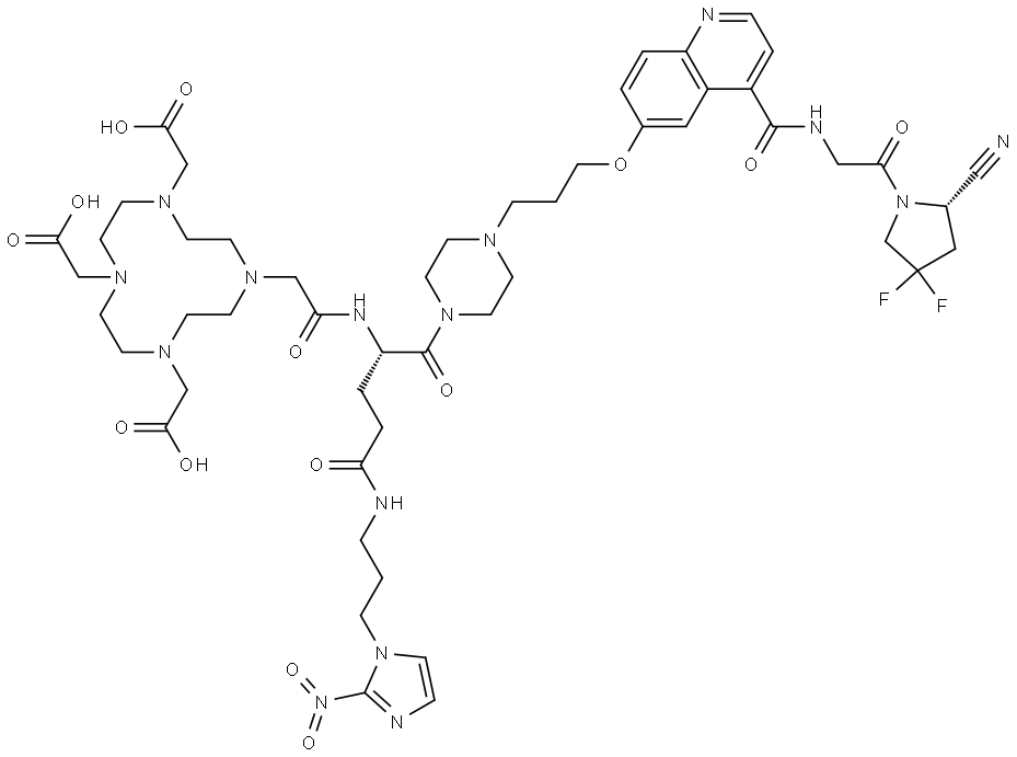
DOTA-NI-FAPI-04 基本信息
| 中文名称 | DOTA-NI-FAPI-04 |
|---|---|
| 中文同义词 | |
| 英文名称 | DOTA-NI-FAPI-04 |
| 英文同义词 | DOTA-NI-FAPI-04 |
| CAS号 | 3078291-78-5 |
| 分子式 | C51H69F2N15O14 |
| 分子量 | 1154.18 |
| EINECS号 | |
| 相关类别 | |
| Mol文件 | 3078291-78-5.mol |
| 结构式 | ![]() |
DOTA-NI-FAPI-04 性质
| 密度 | 1.484±0.14 g/cm3(Temp: 25 °C; Press: 760 Torr)(predicted) |
|---|---|
| 酸度系数(pKa) | 1.833±0.10(predicted) |
