Product Details
| Product Name: ()-B-Methoxydiisopinocampheylborane | CAS No.: 85134-98-1 |
| Min. Order: 1kg | Purity: 99%min |
| Supply Ability: 100kg | Release date: 2025/10/13 |
| Lead time: In stock | Packaging: bottle/drum/bucket/IBC, as request. |
| Delivery: By sea, by air, by express | Origin: Manufacturer, advantage products |
| COA, MSDS: Available, contact us for details | Note: Hot sales |
| Contact : Jessica |
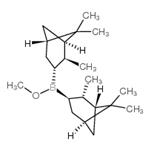
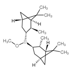
()-B-Methoxydiisopinocampheylborane
![]() ()-B-Methoxydiisopinocampheylborane structure | Common Name | ()-B-Methoxydiisopinocampheylborane | ||
|---|---|---|---|---|
| CAS Number | 85134-98-1 | Molecular Weight | 316.32900 | |
| Density | 0.95g/cm3 | Boiling Point | 365.6ºC at 760 mmHg | |
| Molecular Formula | C21H37BO | Melting Point | N/A | |
| MSDS | N/A | Flash Point | >230 °F | |
| Purity | Quantity | Budget | Inquiry |
|---|
| Name | (+)-b-methoxydiisopinocampheylborane |
|---|---|
| Synonym | More Synonyms |
| Density | 0.95g/cm3 |
|---|---|
| Boiling Point | 365.6ºC at 760 mmHg |
| Molecular Formula | C21H37BO |
| Molecular Weight | 316.32900 |
| Flash Point | >230 °F |
| Exact Mass | 316.29400 |
| PSA | 9.23000 |
| LogP | 5.76890 |
| Index of Refraction | 1.49 |
| Storage condition | 2-8°C |
()-B-Methoxydiisopinocampheylborane MSDS(Chinese) |
| Hazard Codes | Xi |
|---|---|
| Risk Phrases | 36/37/38 |
| Safety Phrases | 26-36 |
| WGK Germany | 3 |
| HS Code | 2931900090 |
Company Profile
Our company is a high-tech enterprise specializing in chemical raw materials such as electronic materials, optoelectronic materials, semiconductor materials, UV monomers, silane catalysts, cosmetic raw materials, etc.
We are committed to providing high-quality chemical products and comprehensive solutions to meet the diverse needs of the global market.
Our research and development team possesses profound professional knowledge and extensive industry experience, dedicated to developing cutting-edge chemical materials to drive technological progress and industrial development. Our production facilities are equipped with state-of-the-art technology and a stringent quality control system to ensure product consistency and reliability.
As a pioneer in the industry, we not only offer standardized products but also customize chemicals and services according to the specific needs of our customers. Our goal is to become a trusted partner for global customers through continuous technological innovation and superior customer service.
Our Company



Our Advantage
Quality control
Based on industry norms, customer requirements, and internal quality objectives, we establish clear quality standards. By monitoring the production process in real-time, we ensure that every step conforms to the predetermined quality standards.
Excellent quality is one of the cornerstones of our success. We welcome ordering samples for quality testing.
Technological innovation
Our technological innovation is reflected in the development of new materials that are at the leading edge of the industry. These materials not only possess higher performance and lower costs but also enable sustainable use within an environmentally friendly production process.
Competitiveness
Based on rich experience in material development and production, we have established a more scientific cost control system. By ensuring product quality, and through refined management and continuous process optimization, we offer more competitive prices.
Word of mouth
Adhering to the principle of customer first, customer first, and honest service, we have established long-term business relationships with customers and are deeply welcomed and trusted by them.
Rich experience
Our products have been exported to many countries, including Germany, Spain, the United Kingdom, the United States, Australia, the Middle East, Asia, and more. We have received highly positive feedback from our clients and have established long-term friendly cooperative relationships with them.

Safe and fast delivery
We will arrange shipment of spot products as soon as we receive payment.
Customized products are determined based on the synthesis time of different products.
Excellent pre-sales and after-sales service
Pre sales:
We are committed to providing the most favorable quotes and detailed information about our products and company.
after-sale service:
We assist buyers in customs clearance by providing necessary documents and information.
If there is any dispute over product quality, we are committed to providing the best solution.
• Packaging:
1kg/bag, 25kg/drum, 50kg/drum, 180kg/drum, 200kg/drum, 1T/bag/drum, standard export packaging or packaging required by customers


• Shipping

• Delivery:
Within 7 days after receiving your payment
Contact information
For more details, pls contact us freely.
Contact name: Jessica
Email address : jessica@fdachem.com
Mob: 86 13676922317
WhatsApp/Skype/Wechat/LINE: 86 13676922317
Company Profile Introduction
You may like
Recommended supplier
| Product name | Price | Suppliers | Update time | |
|---|---|---|---|---|
| $/ |
VIP5Y
|
RongNa Biotechnology Co.,Ltd
|
2025-04-29 | |
| $0.00/1kg |
VIP1Y
|
Hefei Lbao Physical & Chemical Science Co.,Ltd
|
2025-11-19 | |
| $1150.00/50g |
VIP2Y
|
R&D Scientific Inc.
|
2025-11-24 | |
| $15.00/1KG |
Zhuozhou Wenxi import and Export Co., Ltd
|
2021-06-27 | ||
| $1.00/1KG |
VIP6Y
|
Career Henan Chemical Co
|
2020-01-12 |


China