Welcome to chemicalbook!
+1 (818) 612-2111
RFQ
Try our best to find the right business for you.
Do not miss inquiry messages Please log in to view all inquiry messages.

Welcome back!

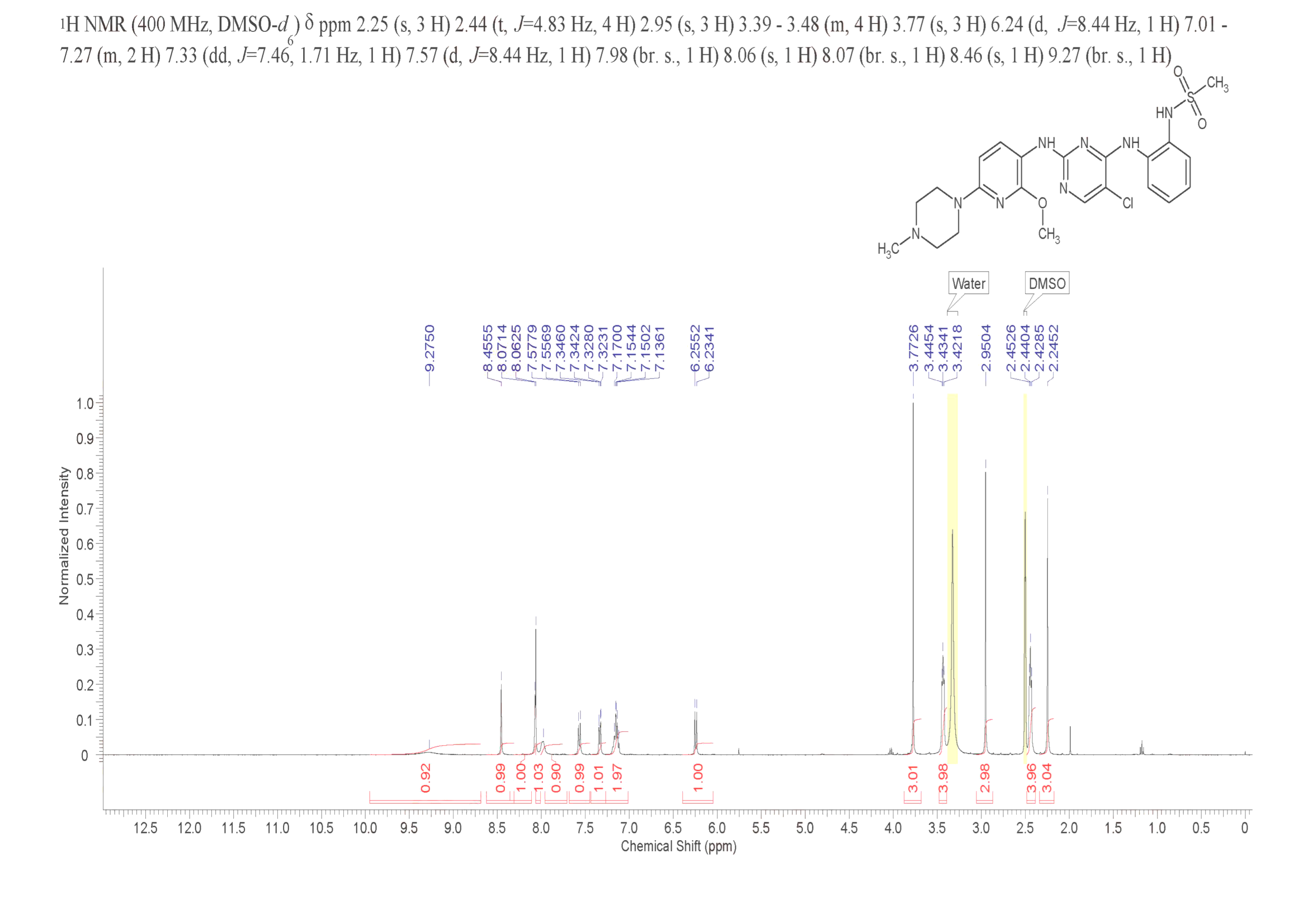
Back ChemicalBook Home>CAS DataBase List>2244775-31-1More Spectrum> F-1(2244775-31-1) 1H NMR

2244775-31-1

F-1(2244775-31-1) 1H NMR

Product NameF-1

CAS2244775-31-1

Molecular FormulaC22H27ClN8O3S

Molecular Weight519.02

F-1(2244775-31-1) 1H NMR Atlas of Related Products

×