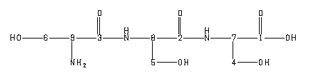
Product NameSER-SER-SER
CAS6620-98-0
Molecular FormulaC9H17N3O7
Molecular Weight279.25
InChIInChI=1S/C9H17N3O7/c10-4(1-13)7(16)11-5(2-14)8(17)12-6(3-15)9(18)19/h4-6,13-15H,1-3,10H2,(H,11,16)(H,12,17)(H,18,19)/t4-,5-,6-/m0/s1
InChIKey XQJCEKXQUJQNNK-ZLUOBGJFSA-N
SmilesC(O)(=O)[C@H](CO)NC(=O)[C@H](CO)NC(=O)[C@H](CO)N

ppm Int. Assign.
176.41 228 1 171.44 507 2 168.90 368 3 62.89 791 4 62.00 838 5 60.99 825 6 57.96 480 7 56.63 1000 8 55.47 764 9
SER-SER-SER(6620-98-0) 13C NMR Atlas of Related Products
HomePage | Member Companies | Advertising | Contact us | Previous WebSite | MSDS | CAS Index | CAS DataBase
Copyright © 2017 ChemicalBook All rights reserved.