产品名称:ORL1 antagonist 1
CAS:1174985-59-1
分子式:C20H22ClN5
分子量: 367.88
InChI:
InChIKey:
Smiles:
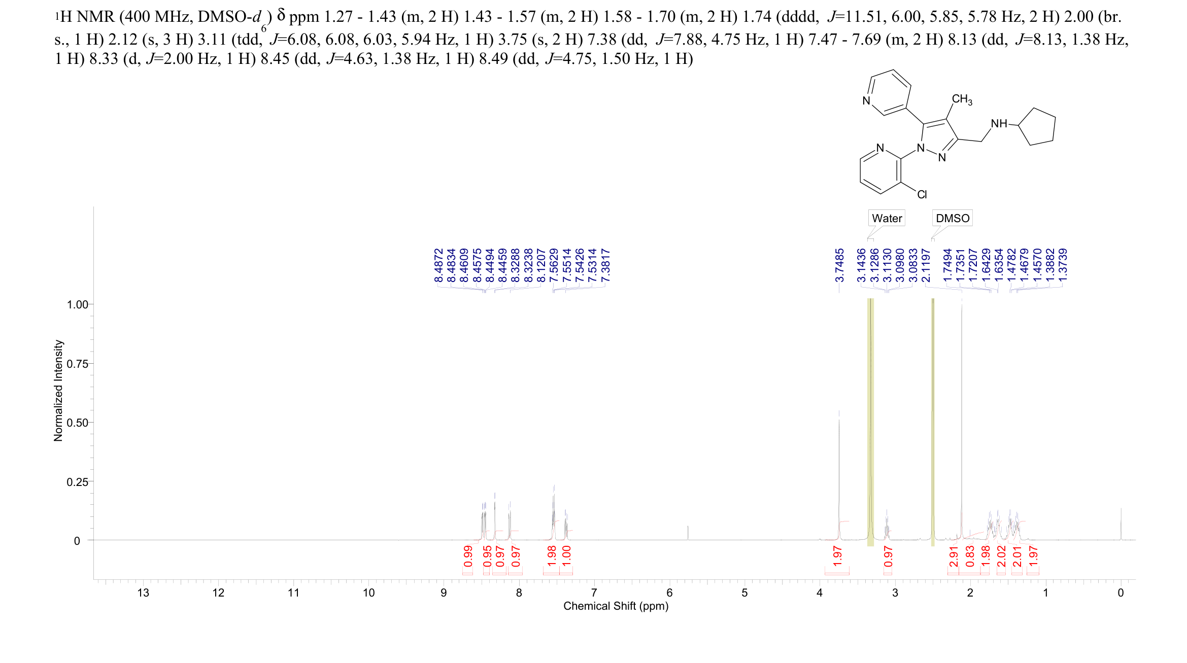
1HNMR
更多供应商
南京诺利斯医药科技有限公司
范德(北京)生物科技有限责任公司
上海赤棠生物科技有限公司
上海一飞生物科技有限公司
上海陶术生物科技股份有限公司
宝欧信特生物科技(苏州)有限公司
生工生物工程(上海)股份有限公司
天津普西唐生物医药科技有限公司
ORL1 antagonist 1(1174985-59-1)核磁图(1HNMR)相关产品图谱