产品名称:TAK-441
CAS:1186231-83-3
分子式:C28H31F3N4O6
分子量: 576.56
InChI:
InChIKey:
Smiles:
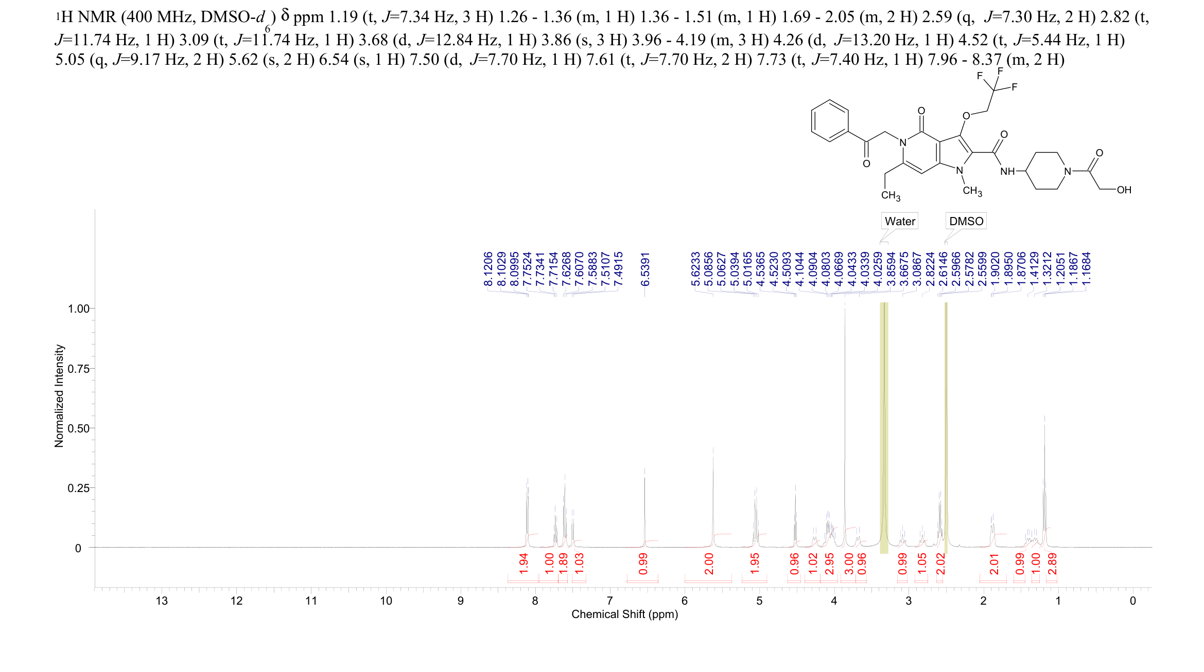
1HNMR
更多供应商
AdooQ BioScience, LLC
Wuhan NCE Biomedical Co.,Ltd.
Shanghai Witofly Chemical Co.,Ltd
济南铭雅医药科技有限公司
上海惯承化工科技有限公司
斯派螺(武汉)药物研发有限公司
上海珀法姆医药科技有限公司
中山几何生物科技有限公司
武汉微源生物技术有限公司
爱必信(上海)生物科技有限公司
TAK-441(1186231-83-3)核磁图(1HNMR)相关产品图谱