产品名称:帕潘立酮
CAS:144598-75-4
分子式:C23H27FN4O3
分子量: 426.48
InChI:
InChIKey:
Smiles:
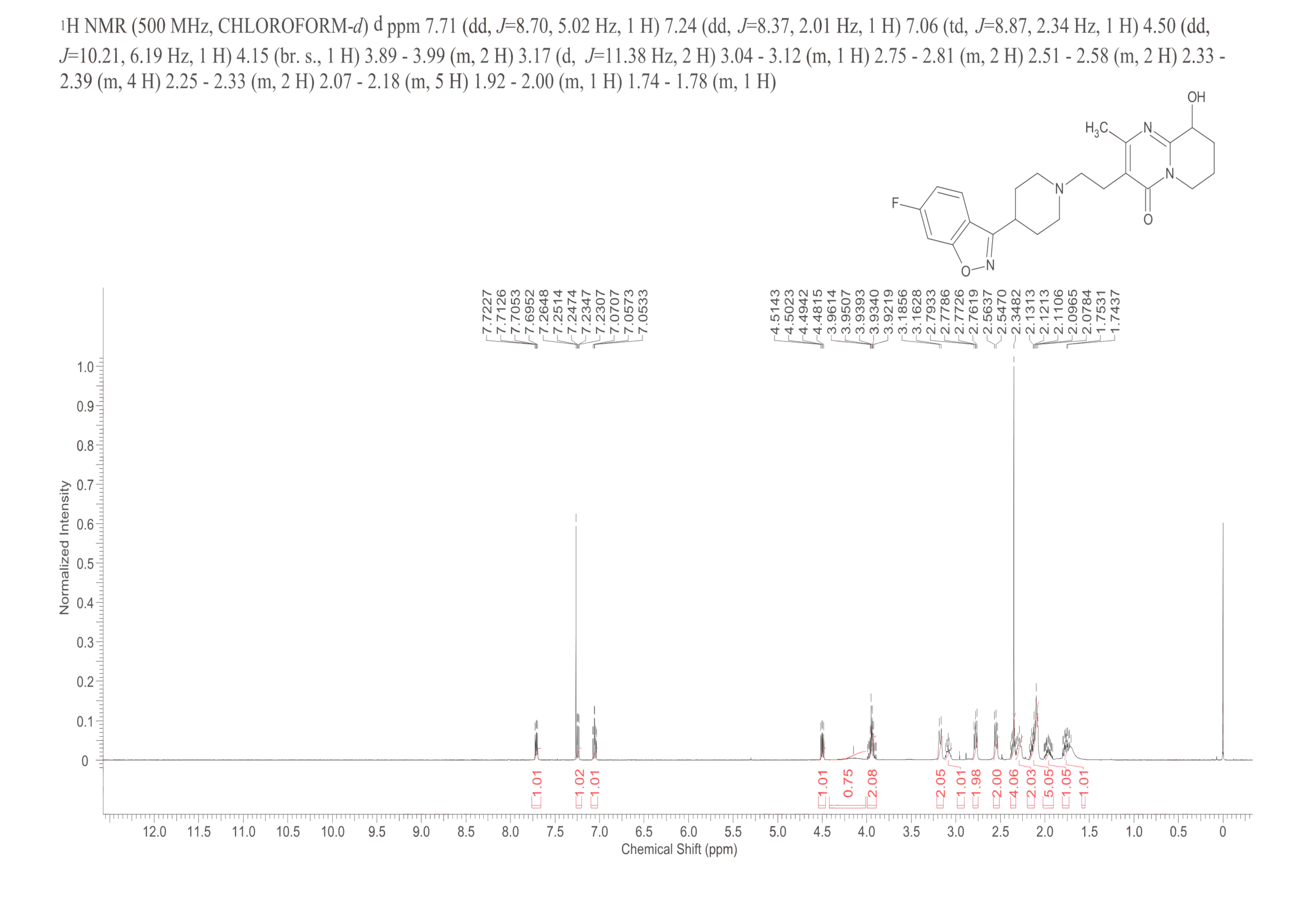
1HNMR
更多供应商
湖南济邦生物科技有限公司 黄金产品
合肥立方制药股份有限公司 黄金产品
武汉易泰科技有限公司上海分公司
安耐吉化学&3A(安徽泽升科技有限公司)
上海恩诺生物科技有限公司
上海景颜化工科技有限公司
上海复和化学科技有限公司
杭州宇昊化工科技有限公司
武汉海正工贸发展有限公司
上海思域化工科技有限公司
帕潘立酮(144598-75-4)核磁图(1HNMR)相关产品图谱