产品名称:化合物 T16859
CAS:1451272-71-1
分子式:C13H12ClN3O4S
分子量: 341.77
InChI:
InChIKey:
Smiles:
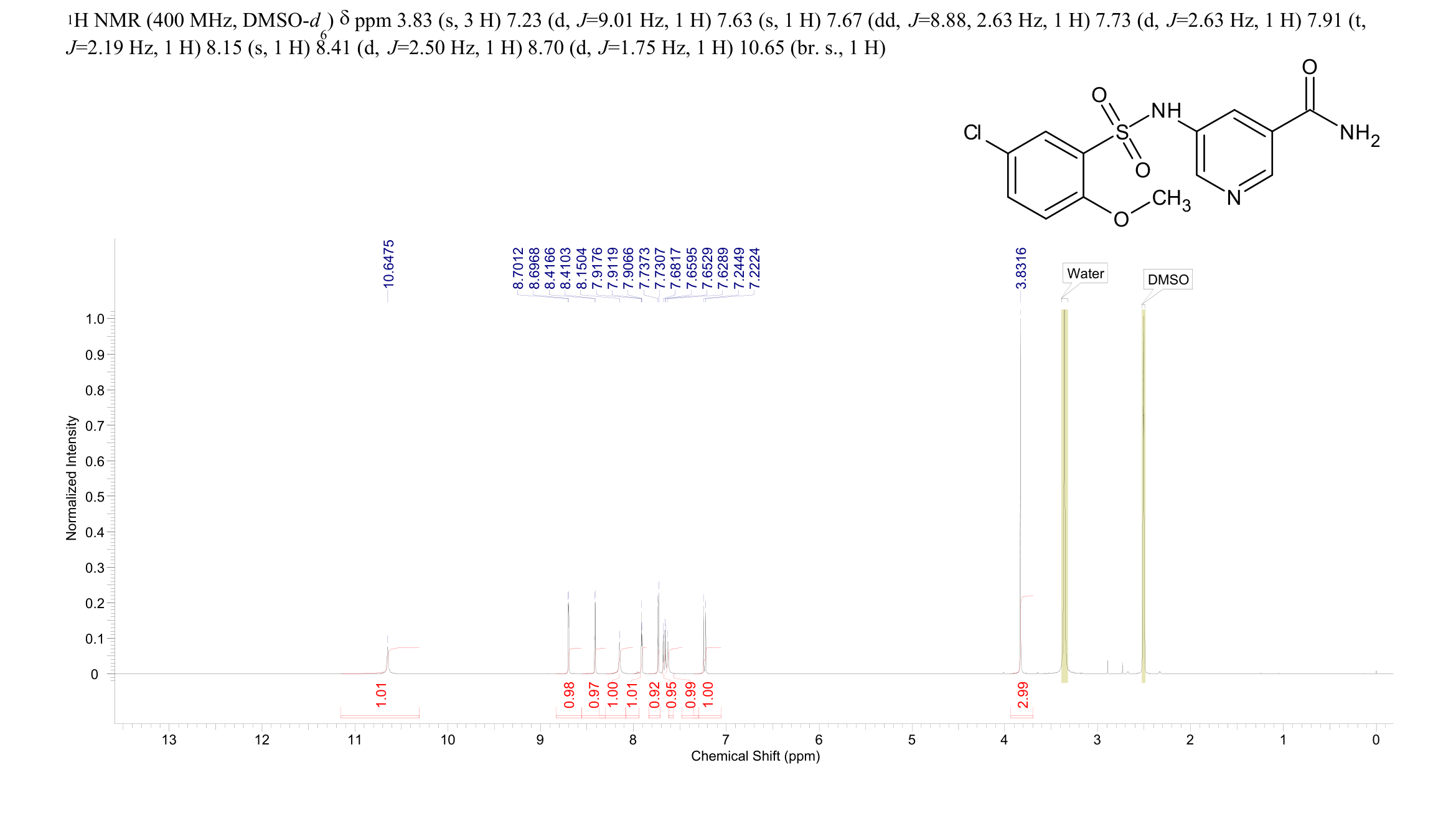
1HNMR
更多供应商
上海瀚香生物科技有限公司
上海楼岚生物科技有限公司
上海禹犇生物科技有限公司
武汉敬康恩生物医药科技有限公司
上海立崎生物医学研究中心
ChemeGen 中国
上海弘渠生物医药科技有限公司
苏州优睿科化工医药科技有限公司
金瓯生物医药(南京)有限公司
上海陶术生物科技股份有限公司
化合物 T16859(1451272-71-1)核磁图(1HNMR)相关产品图谱