产品名称:阿度格列凡
CAS:1488363-78-5
分子式:C32H36F3NO4
分子量: 555.64
InChI:
InChIKey:
Smiles:
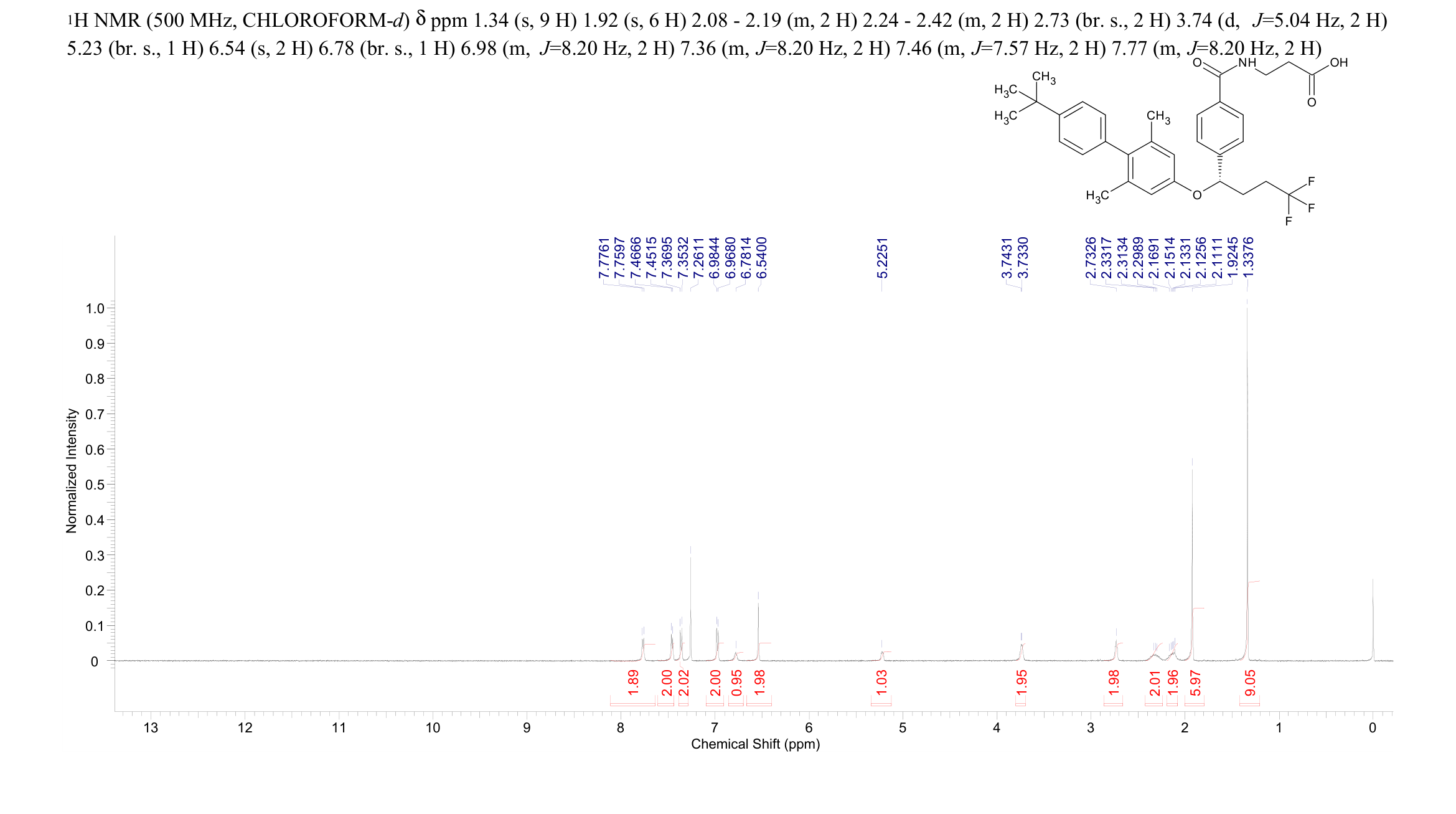
1HNMR
更多供应商
上海皓元医药股份有限公司
MedChemexpress LLC
杭州枫林化工有限公司
上海珀法姆医药科技有限公司
Musechem
苏州贝昶生物科技有限公司
InvivoChem
爱必信(上海)生物科技有限公司
ChemeGen 中国
HANGZHOU CLAP TECHNOLOGY CO.,LTD
阿度格列凡(1488363-78-5)核磁图(1HNMR)相关产品图谱