产品名称:Sigma-1 receptor antagonist 3
CAS:1639220-17-9
分子式:C19H23ClFN3O
分子量: 363.86
InChI:
InChIKey:
Smiles:
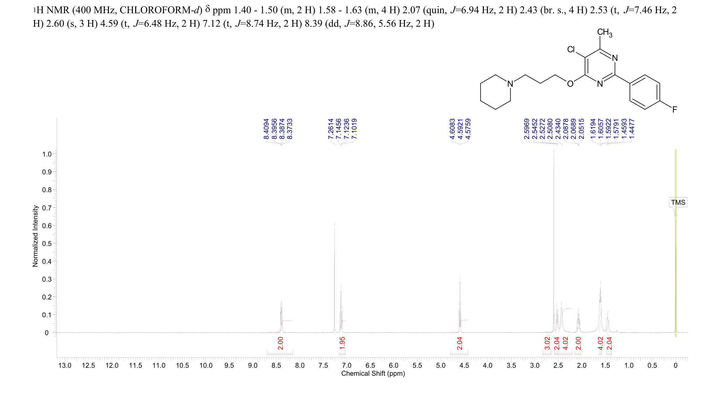
1HNMR
更多供应商
天津凯利奇生物科技有限公司
范德(北京)生物科技有限责任公司
合肥钼凯医药科技有限公司
ChemeGen 中国
上海一飞生物科技有限公司
上海陶术生物科技股份有限公司
南京世洲生物科技有限公司
上海弘渠生物医药科技有限公司
成都超九八生物科技有限公司
Sigma-1 receptor antagonist 3(1639220-17-9)核磁图(1HNMR)相关产品图谱