产品名称:化合物HIV-1 INHIBITOR-6
CAS:1821309-39-0
分子式:C14H10N4O4S
分子量: 330.32
InChI:
InChIKey:
Smiles:
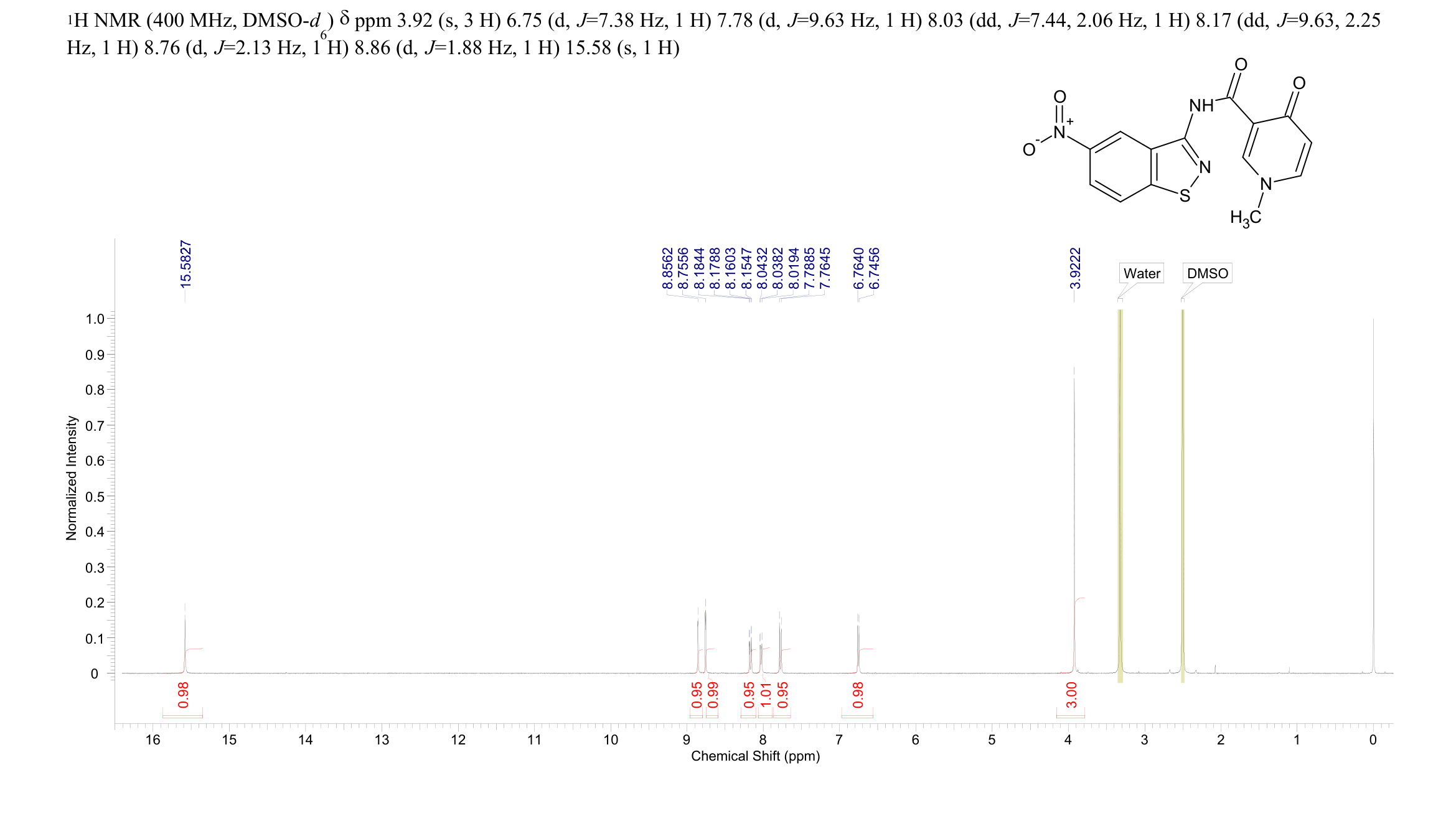
1HNMR
更多供应商
上海瀚香生物科技有限公司
ATK CHEMICAL COMPANY LIMITED
南通菡芳生物科技有限公司
河北唯特医药科技有限公司
南通全益生物科技有限公司
上海一飞生物科技有限公司
上海陶术生物科技股份有限公司
Nantong HI-FUTURE Biology Co., Ltd.
生工生物工程(上海)股份有限公司
广州陶术生物科技有限公司
化合物HIV-1 INHIBITOR-6(1821309-39-0)核磁图(1HNMR)相关产品图谱