ChemicalBook
English   Japanese   Germany   Korea
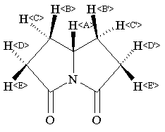
返回ChemicalBook首页>CAS数据库列表>18356-28-0更多图谱> Rolziracetam(18356-28-0)核磁图(1HNMR)

18356-28-0

Rolziracetam(18356-28-0)核磁图(1HNMR)

产品名称:Rolziracetam

CAS:18356-28-0

分子式:C7H9NO2

分子量: 139.15

InChI:InChI=1S/C7H9NO2/c9-6-3-1-5-2-4-7(10)8(5)6/h5H,1-4H2

InChIKey: IEZDOKQWPWZVQF-UHFFFAOYSA-N

Smiles:N12C(=O)CCC1CCC2=O

  • 图谱


        Parameter     ppm  Hz
    D(A) 4.40 D(B) 2.24 D(C) 1.74 D(D) 2.54 D(E) 2.66 J(A,B) 5.9 J(A,B') 5.9 J(A,C) 10.0 J(A,C') 10.0 J(A,D) 0.0 J(A,D') 0.0 J(A,E) 0.0 J(A,E') 0.0 J(B,B') 0.0 J(B,C) -12.5 J(B,C') 0.0 J(B,D) 0.8 J(B,D') 0.0 J(B,E) 8.2 J(B,E') 0.0 J(B',C) 0.0 J(B',C') -12.5 J(B',D) 0.0 J(B',D') 0.8 J(B',E) 0.0 J(B',E') 8.2 J(C,C') 0.0 J(C,D) 8.5 J(C,D') 0.0 J(C,E) 12.7 J(C,E') 0.0 J(C',D) 0.0 J(C',D') 8.5 J(C',E) 0.0 J(C',E') 12.7 J(D,D') 0.0 J(D,E) -17.5 J(D,E') 0.0 J(D',E) 0.0 J(D',E') -17.5 J(E,E') 0.0 AASEN,A.J. ET AL. AUST.J.CHEM. 24, 2575 (1971)
    Spectral Code: 1H NMR : parameter in CDCl3

×