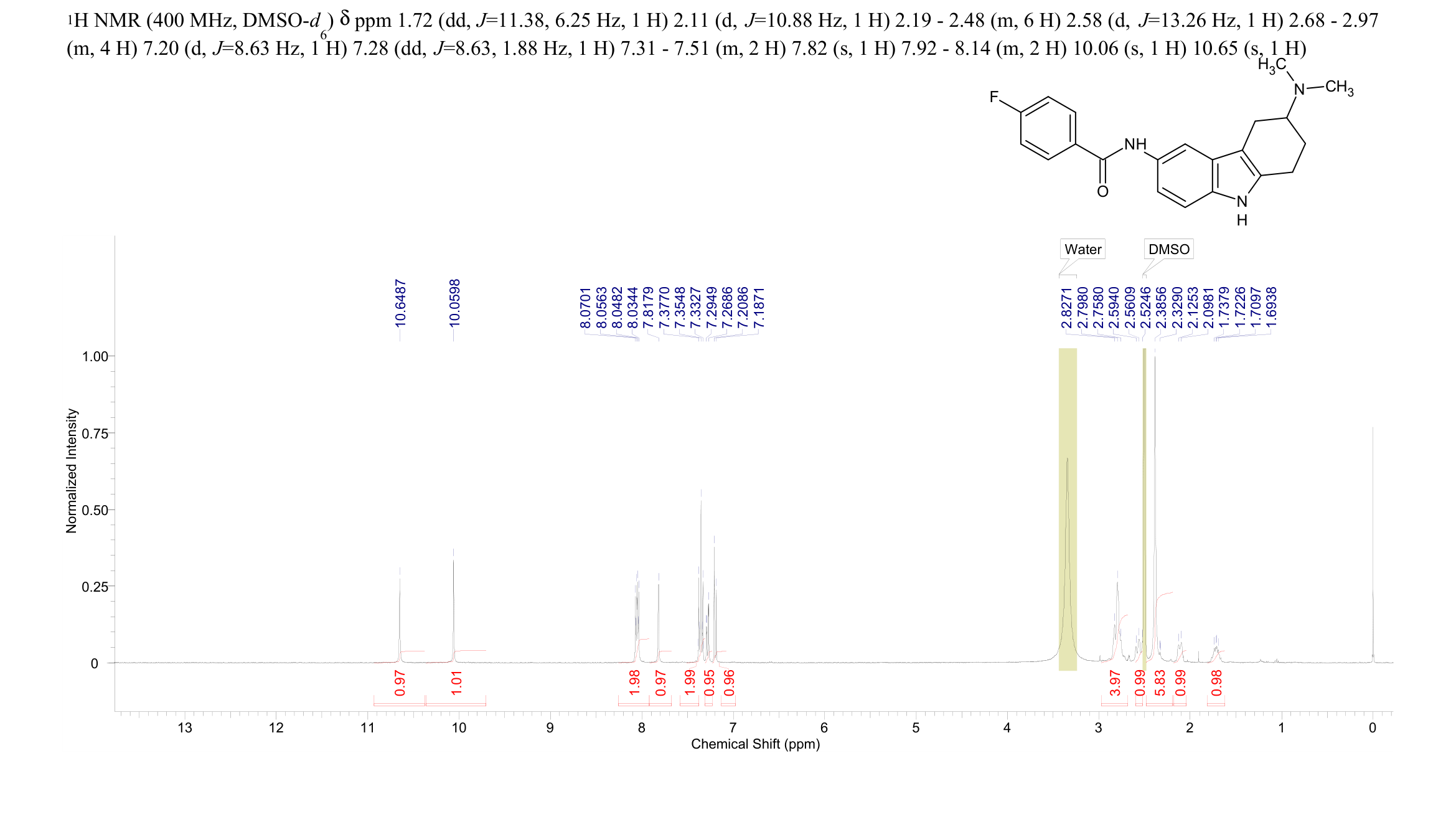
产品名称:186543-64-6
CAS:186543-64-6
分子式:C21H22FN3O
分子量: 351.42
InChI:
InChIKey:
Smiles:
1HNMR
更多供应商
北京修齐源科技有限公司
ATK CHEMICAL COMPANY LIMITED
范德(北京)生物科技有限责任公司
武汉敬康恩生物医药科技有限公司
上海瀚思化工有限公司
长沙福臻生物科技有限公司
ChemeGen 中国
上海弘渠生物医药科技有限公司
天津普西唐生物医药科技有限公司
BOC Sciences
186543-64-6(186543-64-6)核磁图(1HNMR)相关产品图谱