产品名称:ROCK2-IN-2
CAS:1995065-79-6
分子式:C18H12N6OS
分子量: 360.39
InChI:
InChIKey:
Smiles:
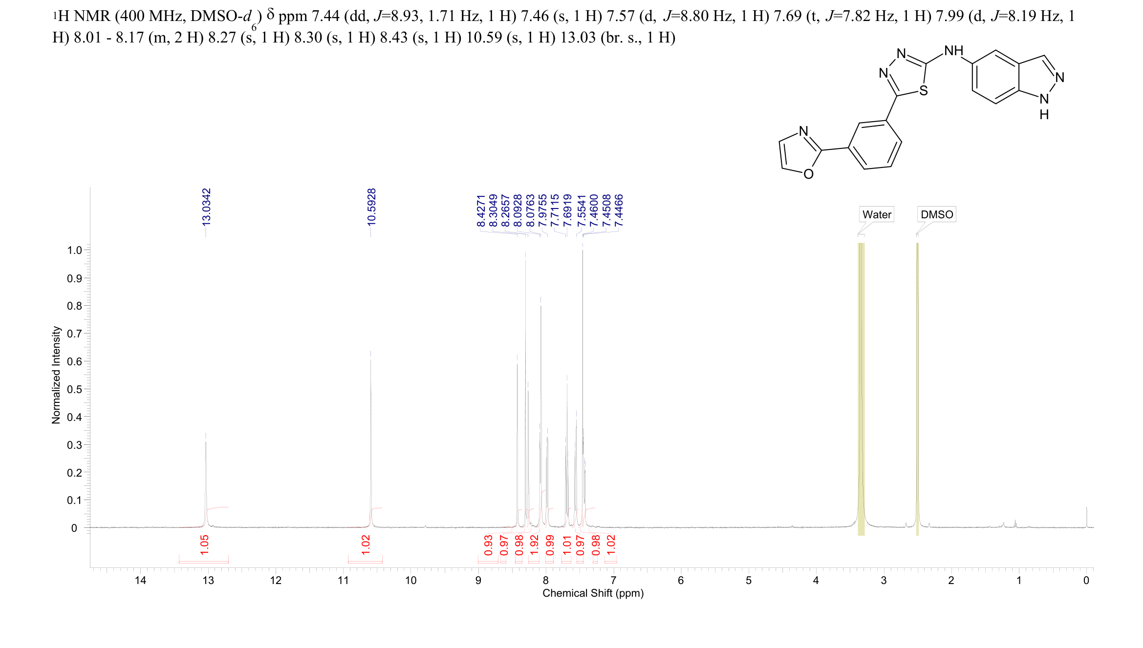
1HNMR
更多供应商
上海畅禹和医药科技有限公司
范德(北京)生物科技有限责任公司
上海众泽川医药科技有限公司
郑州汇聚化工有限公司
上海一飞生物科技有限公司
上海捷世凯生物科技有限公司
南京世洲生物科技有限公司
泰兴市海川生物科技有限公司
銳迪國際科技有限公司
天津普西唐生物医药科技有限公司
ROCK2-IN-2(1995065-79-6)核磁图(1HNMR)相关产品图谱