产品名称:琥珀酸EPITINIB
CAS:2252334-12-4
分子式:C28H32N6O6
分子量: 548.6
InChI:
InChIKey:
Smiles:
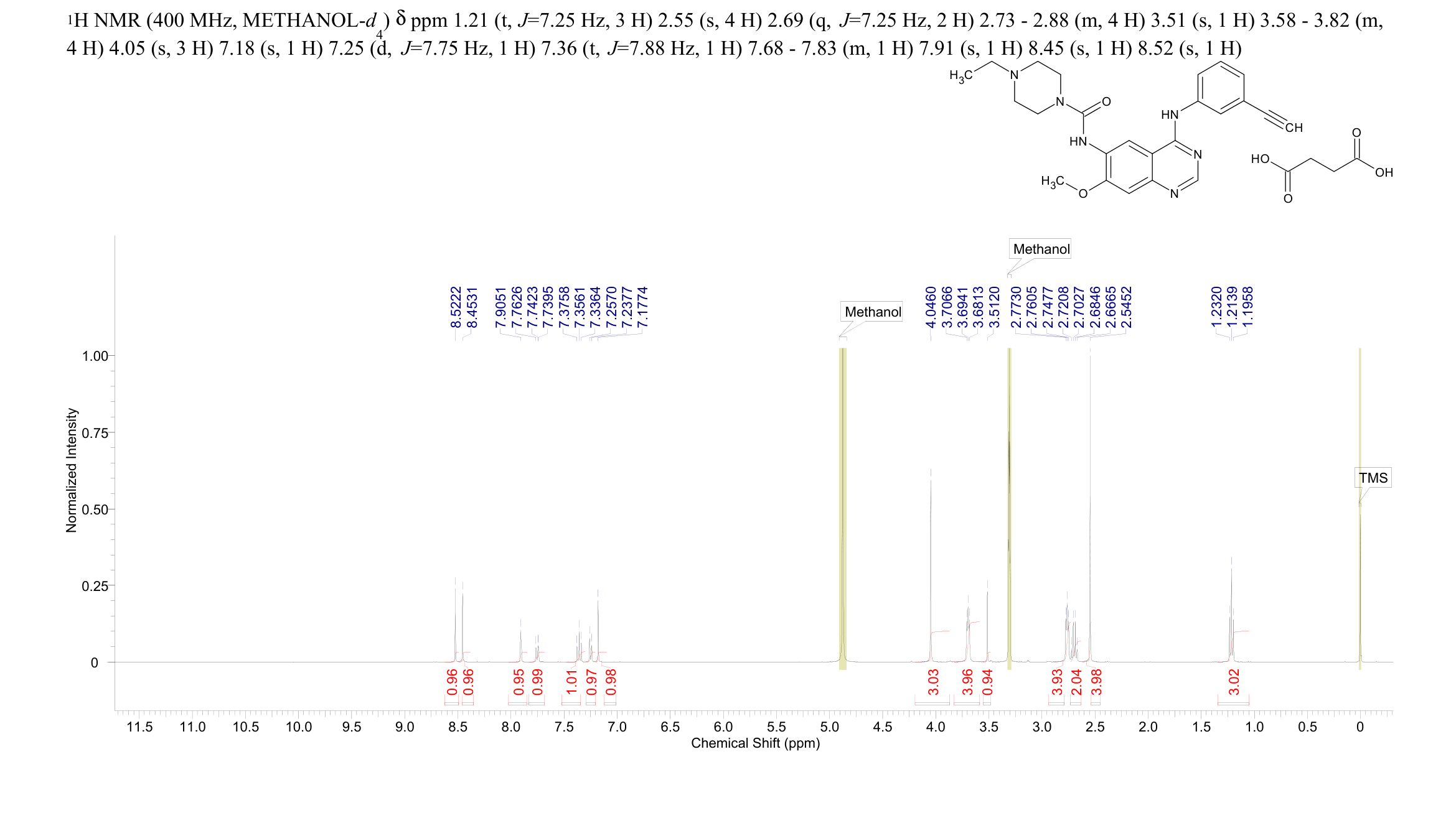
1HNMR
更多供应商
济南九黎生物科技有限公司
上海一飞生物科技有限公司
宝欧信特生物科技(苏州)有限公司
Aladdin Scientific
生工生物工程(上海)股份有限公司
銳迪國際科技有限公司
上海陶术生物科技股份有限公司
广州珺泽生物科技有限公司
琥珀酸EPITINIB(2252334-12-4)核磁图(1HNMR)相关产品图谱