产品名称:c-Kit-IN-3
CAS:2363169-01-9
分子式:C26H20ClF3N2O4
分子量: 516.9
InChI:
InChIKey:
Smiles:
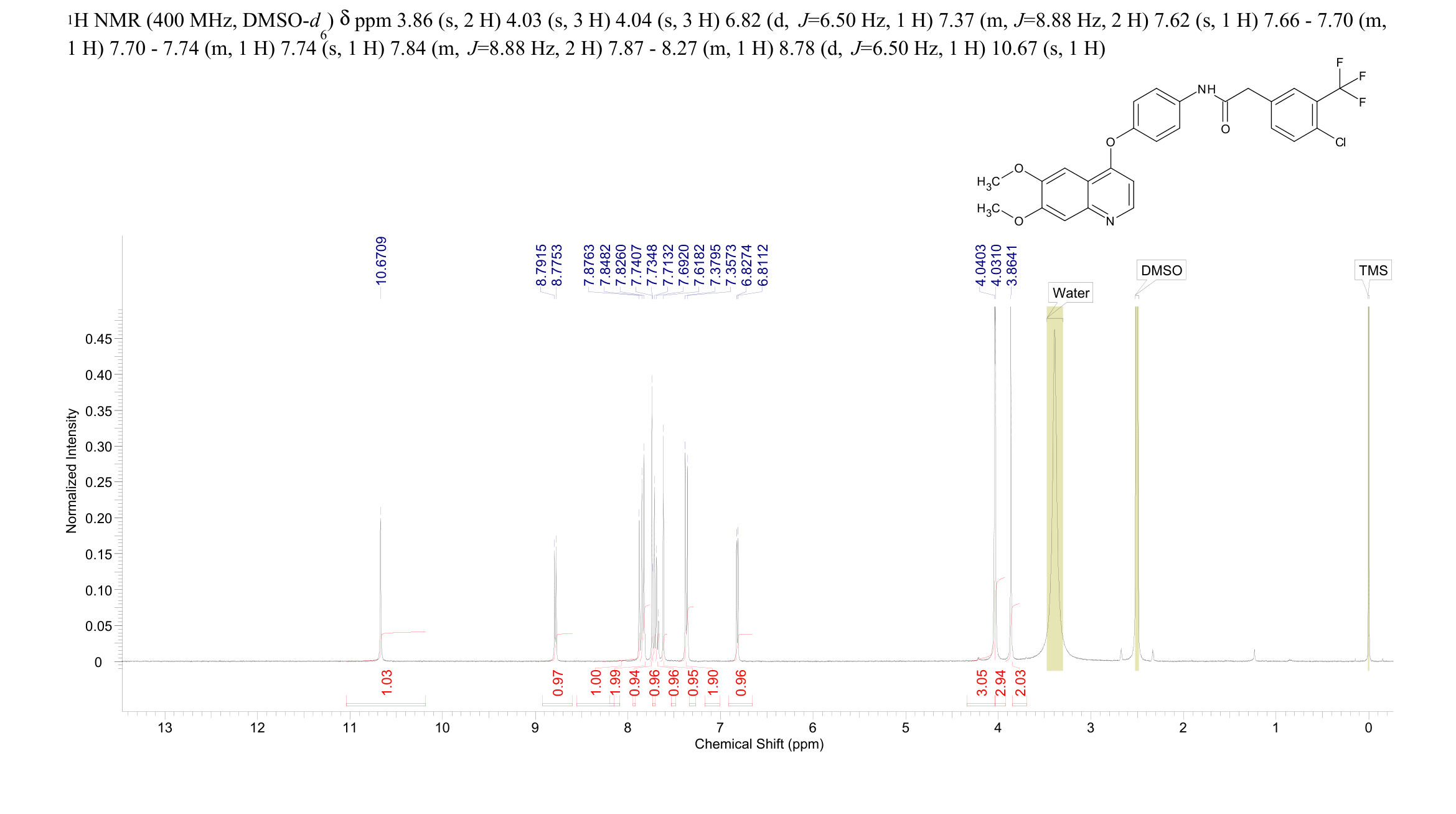
1HNMR
更多供应商
上海碧咸医药科技有限公司
济南九黎生物科技有限公司
淄博百极荣创医药科技有限公司
ChemeGen 中国
上海一飞生物科技有限公司
南京世洲生物科技有限公司
上海弘渠生物医药科技有限公司
Aladdin Scientific
上海陶术生物科技股份有限公司
南通全益生物科技有限公司
c-Kit-IN-3(2363169-01-9)核磁图(1HNMR)相关产品图谱