ChemicalBook
English   Japanese   Germany   Korea

73-03-0

虫草素(73-03-0)核磁图(13CNMR)

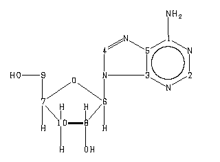
产品名称:虫草素

CAS:73-03-0

分子式:C10H13N5O3

分子量: 251.24

InChI:InChI=1S/C10H13N5O3/c11-8-7-9(13-3-12-8)15(4-14-7)10-6(17)1-5(2-16)18-10/h3-6,10,16-17H,1-2H2,(H2,11,12,13)/t5-,6+,10+/m0/s1

InChIKey: OFEZSBMBBKLLBJ-BAJZRUMYSA-N

Smiles:OC[C@H]1O[C@@H](N2C3C(=C(N=CN=3)N)N=C2)[C@H](O)C1

  • 图谱

  • 图谱


           ppm   Int.  Assign.
    155.91 370 1 153.00 870 2 148.66 245 3 140.27 848 4 119.28 195 5 91.46 993 6 81.78 993 7 75.53 1000 8 63.34 890 9 33.62 921 10
    Spectral Code: 13C NMR : in D2O

×