产品名称:CID 5951923
CAS:749872-43-3
分子式:C16H18N2O7S
分子量: 382.39
InChI:
InChIKey:
Smiles:
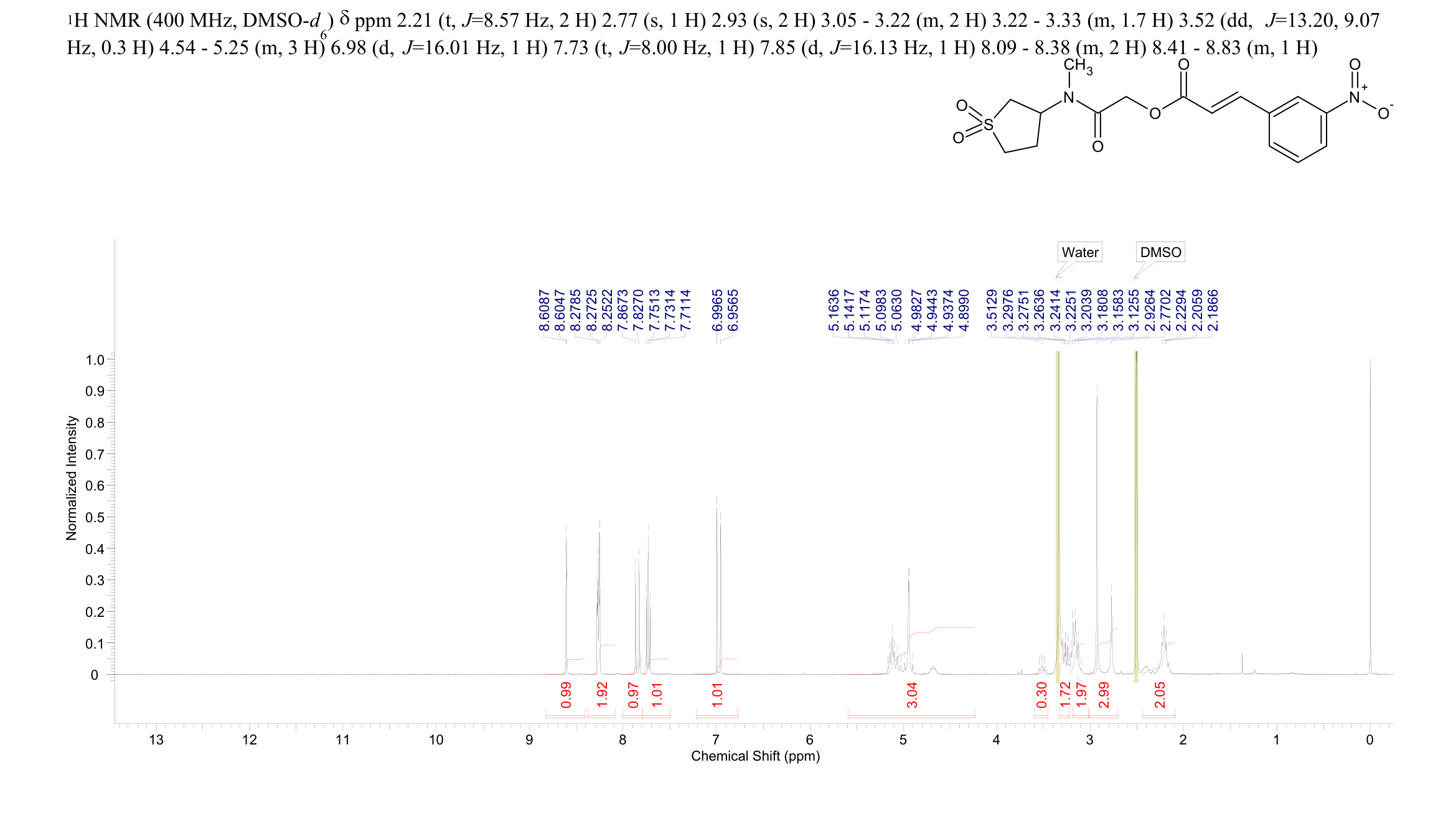
1HNMR
更多供应商
北京百灵威科技有限公司
上海陶素生化科技有限公司
Sigma-Aldrich西格玛奥德里奇(上海)贸易有限公司
EMMX Biotechnology LLC
药渡经纬信息科技(北京)有限公司
杭州枫林化工有限公司
Novachemistry
深圳聚合生化科技有限公司
安耐吉化学&3A(安徽泽升科技有限公司)
ApexBio技术
CID 5951923(749872-43-3)核磁图(1HNMR)相关产品图谱