产品名称:化合物 T8553
CAS:896683-84-4
分子式:C27H32N4O4S
分子量: 508.63
InChI:
InChIKey:
Smiles:
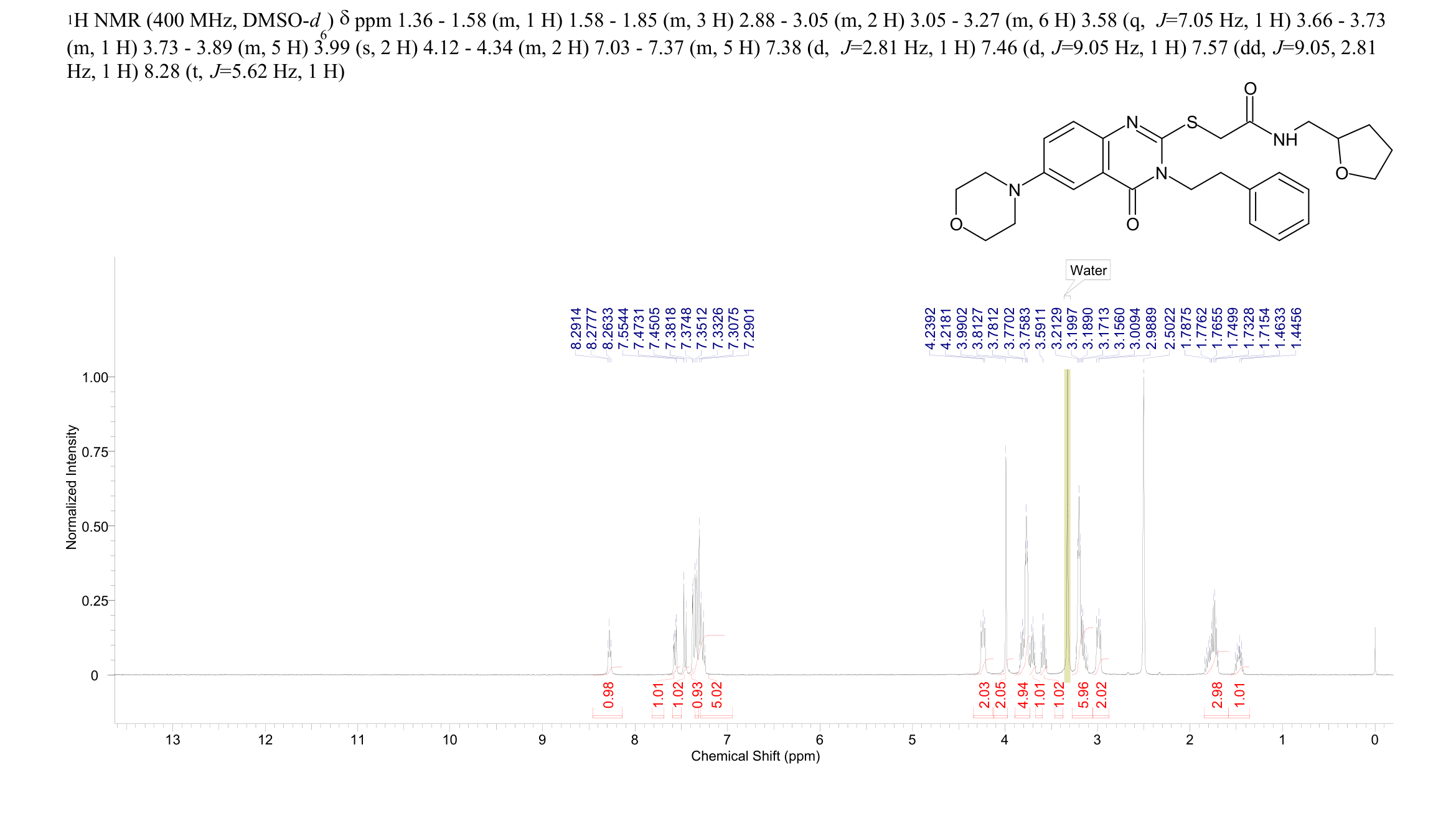
1HNMR
更多供应商
江苏艾康生物医药研发有限公司
上海立崎生物医学研究中心
南通全益生物科技有限公司
上海一飞生物科技有限公司
苏州优睿科化工医药科技有限公司
Aladdin Scientific
Nantong HI-FUTURE Biology Co., Ltd.
生工生物工程(上海)股份有限公司
銳迪國際科技有限公司
上海陶术生物科技股份有限公司
化合物 T8553(896683-84-4)核磁图(1HNMR)相关产品图谱