产品名称:化合物 T24182
CAS:909207-35-8
分子式:C14H14N4O2S
分子量: 302.35
InChI:
InChIKey:
Smiles:
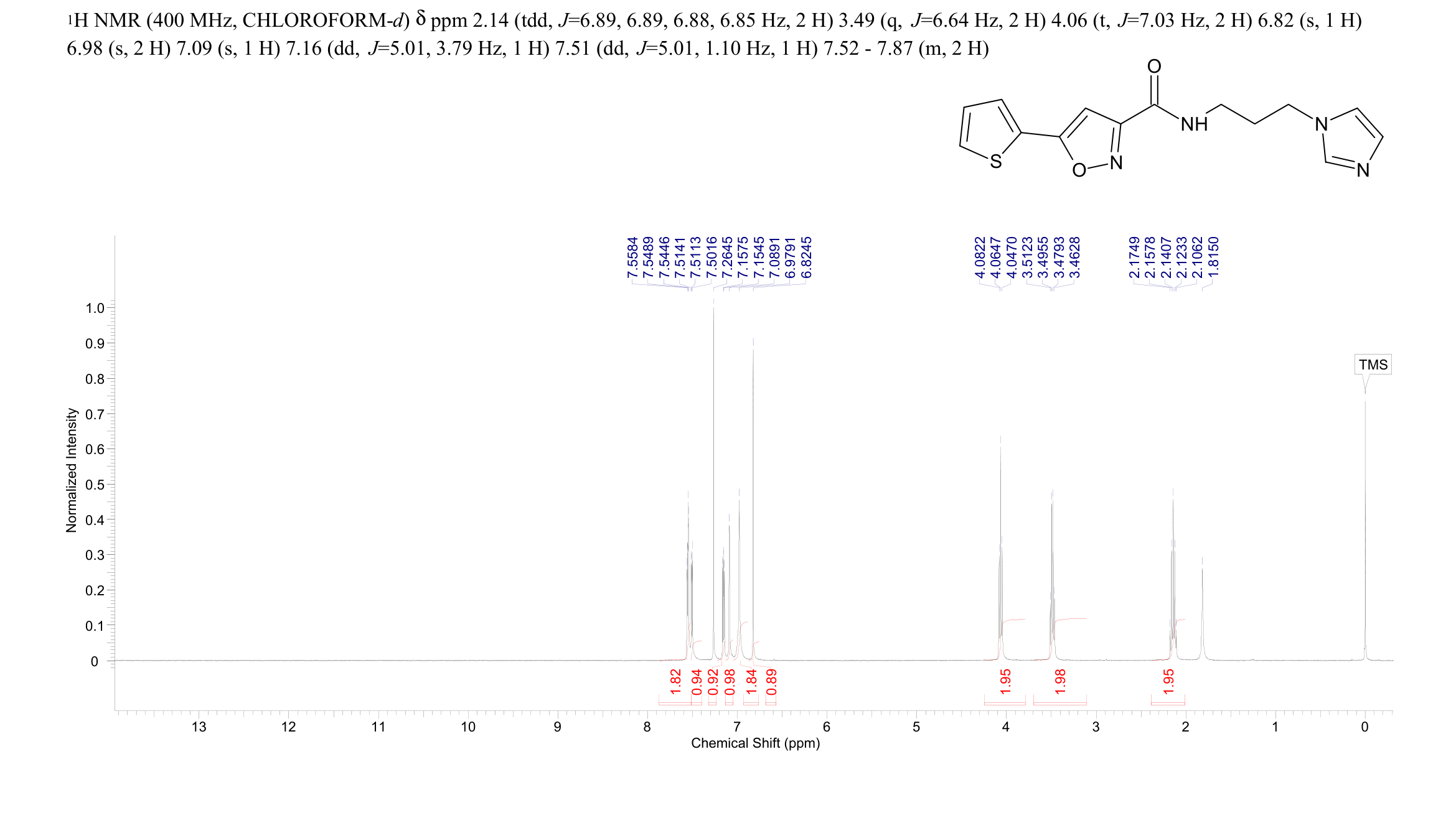
1HNMR
更多供应商
上海碧咸医药科技有限公司
天津凯利奇生物科技有限公司
江苏艾康生物医药研发有限公司
上海一飞生物科技有限公司
上海毕得医药科技股份有限公司
南京林叶化学试剂有限公司
生工生物工程(上海)股份有限公司
上海陶术生物科技股份有限公司
化合物 T24182(909207-35-8)核磁图(1HNMR)相关产品图谱