暂无可领优惠券
主营产品:
客服热线:
普通会员
顺hexahydroisoindoline的
询价
更新时间:2013/08/31
S-2-苄基琥珀酸
氟马西尼
7 - 氟-3,4 - 二氢-4 - 甲基-2H-1,5 0.4 - 苯并二吖庚因-2 - (1H) - 二酮
盐酸度洛西汀
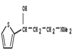
(S) - ( - )-N,N-二甲基-3 - 羟基-3 - (2 - 噻吩基)丙胺
S-(+)-N,N-二甲基-3 - (1 - 萘氧基)-3 - (2 - 噻吩基)-1 - 丙胺草酸盐
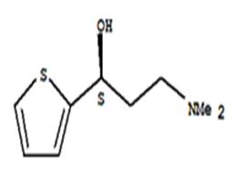
3 - (二甲基氨基)-1 - (2 - 噻吩基)-1 - 丙醇
3 - (二甲基氨基)-1 - (2 - 噻吩基)-1 - 丙酮盐酸盐
硫酸氢氯吡格雷
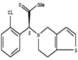
(S) - (+)-2 - 氯苯甲基酯
2 - (2 - 噻吩基)乙基4 - 甲基苯磺酸
罗氟司特
5 - 氟靛红
更新时间:2020/05/14
6 - 氟靛红酸酐
更新时间:2023/05/14
米格列奈钙中间体
更新时间:2024/01/30
商家暂时不对外公布