ICG-CBT 吲哚菁绿氰基苯并噻唑

ICG-CBT ( labeling of cysteine residues)
产品名:吲哚菁绿氰基苯并噻唑
英文名:ICG-CBT ( labeling of cysteine residues)
ICG-CBT特异性结合1,2-和1,3-氨基硫醇,比如来自各种生物分子(抗体、蛋白质、肽和酶等)或小分子上的N-末端半胱氨酸,实现特异性的荧光标记。这种CBT具有反应快,对氨基硫醇具有选择性,并且具有相容性,并且不会对简单的硫醇起反应。
ICG偶联产品简介:
(1)ICG-COOH
(2)Amino-reactive ICG-OSu derivatives (labeling the amine groups)
ICG-OSu是结合亲核试剂,特别是与各种生物分子底物(抗体、蛋白质、肽和酶等)和含有氨基官能团小分子结合,实现荧光标记。
(3)ICG-Maleimide (labeling the thiol groups of cysteine residues)
马来酰亚胺基团(Maleimide)特异性结合来自各种各种生物分子底物(抗体、蛋白质、肽和酶等)和小分子上的半胱氨酸的硫醇基团,实现特异性的荧光标记。
(4)ICG-Azide (labeling easily through click reaction)
ICG Azide可用于铜催化的点击反应,与各种生物分子底物(抗体、蛋白质、肽和酶等)和带有炔基的小分子反应,实现特异性的荧光标记。
(5)ICG-DBCO (labeling easily through copper-free click reaction)
DBCO是一种受约束的炔烃,它在无铜的点击反应中与叠氮化物反应,其可以连接在各种生物分子底物(抗体、蛋白质、肽和酶等)或小分子上,实现特异性的荧光标记。
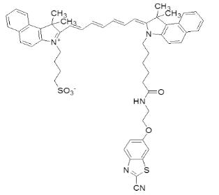
(6)ICG-CBT ( labeling of cysteine residues)
ICG-CBT特异性结合1,2-和1,3-氨基硫醇,比如来自各种生物分子(抗体、蛋白质、肽和酶等)或小分子上的N-末端半胱氨酸,实现特异性的荧光标记。这种CBT具有反应快,对氨基硫醇具有选择性,并且具有相容性,并且不会对简单的硫醇起反应。
(7)ICG-Tz (dienophile-reaction active)
四嗪基团(Tz)是三代点击反应试剂,与亲双烯体(dienophile)反应快,其附着在各种生物分子(抗体、蛋白质、肽和酶等)或小分子上,实现特异性的荧光标记。
(8)ICG-Alkyne (labeling easily through click reaction)
ICG- Alkyne可用于铜催化点击反应,与各种生物分子底物(抗体,蛋白质,肽,酶)和具有叠氮基功能的小分子,实现特异性的荧光标记。
相对于Cyanine染料,由于ICG衍生物合成和分离更加繁琐,目前市场上ICG衍生物价格普遍偏高,是阻碍它们应用的原因之一,我们采用新的重结晶技术可以得到纯度95%以上的ICG衍生物,大大降低了纯化成本,这样相对于其它公司的同类ICG产品,具有强的价格优势。
相关产品:
吲哚菁绿(ICG)荧光标记汉黄芩苷 Wogonoside
吲哚菁绿(ICG)荧光标记辣椒碱 Capsaicin-HRP
吲哚菁绿(ICG)荧光标记辣椒素 Vanillylnonanamide
吲哚菁绿(ICG)荧光标记胆红素 Bilirubin
吲哚菁绿(ICG)荧光标记芦丁 Rutin
吲哚菁绿(ICG)荧光标记齐墩果酸 Oleanolic Acid
吲哚菁绿(ICG)荧光标记青蒿素 Artemisinin
吲哚菁绿(ICG)荧光标记马兜铃酸 Aristolochic Acid
吲哚菁绿(ICG)荧光标记路路通酸 Liquidambaric Acid
吲哚菁绿(ICG)荧光标记桦木酸 Betulinic Acid
吲哚菁绿(ICG)荧光标记环巴胺 Cyclopamine
吲哚菁绿(ICG)荧光标记七叶皂苷 Aescin
吲哚菁绿(ICG)荧光标记苦鬼臼毒素 Podophyllotoxin
吲哚菁绿(ICG)荧光标记白藜芦醇 Resveratrol
吲哚菁绿(ICG)荧光标记姜黄素 Curcumin
吲哚菁绿(ICG)荧光标记葛根素 Puerarin
吲哚菁绿(ICG)荧光标记染料木苷 Genistin
吲哚菁绿(ICG)荧光标记远志皂苷元 Senegenin
iRGD环肽修饰吲哚菁绿(ICG)声学脂质体
ODA(十八胺)改性的ICG-IR1061(反式环辛烯)阳离子脂质体
吲哚菁绿(ICG)负载蟛蜞菊内酯(Wed)脂质体
ICG(吲哚菁绿)负载IR1061(反式环辛烯)脂质体
吲哚菁绿(ICG)标记血红蛋白脂质体(Hb-lipo)
负载吲哚菁绿(ICG)和全氟溴辛烷(PFOB)脂质纳米粒
吲哚菁绿(ICG)包载靶向长循环热敏脂质体(ALTSL)
Au(金纳米)负载ICG(吲哚菁绿)的脂质体多功能纳米探针
吲哚菁绿(ICG)包裹纳米脂质体(nanoliposomes)
L-Arg(/ICG@Apt-Lip功能化的脂质体
PALA-b-PEG-ICG 聚硫辛酸-聚乙二醇-吲哚菁绿
Durg-PALA-b-PEG-ICG ROS和GSH双重响应断键载药定制兼近红外荧光示踪(光热双重作用)
PALA-g-PEG-ICG 聚硫辛酸-聚乙二醇-吲哚菁绿
Durg-PALA-g-PEG-ICG ROS和GSH双重响应断键载药定制兼近红外荧光示踪(光热双重作用)
聚乙烯吡咯烷酮微针载阿霉素/吲哚菁绿 DOX/ICG-Microneedles
负载DOX/ICG的聚乙烯吡咯烷酮可溶解微针
HSA修饰荧光脂质体H-LipoICG
十八胺改性的ICG-IR1061阳离子脂质体(ICG-IR1061 CLP)
Ce6/ICG脂质体定制合成
ICG荧光标记TCP-1多肽
ICG荧光标记TNYL多肽
ICG荧光标记靶向肽GX1
本文由QiyueLh整理,2022年6月2日
关键字: ICG-CBT;吲哚菁绿氰基苯并噻唑;
西安齐岳生物科技有限公司是国内一家生物科技公司,我公司生产销售科研级别的药物传递和药物纳米靶向方面的产品,公司目前经营的产品主要有合成磷脂,PEG衍生物,嵌段共聚物,纳米金,磁性纳米颗粒,介孔二氧化硅,活性荧光染料,荧光量子点,点击化学和大环配体等等