中文名:荧光素异硫氰酸酯-葡聚糖
英文名:荧光素异硫氰酸酯-葡聚糖;荧光素异硫氰酸酯标记葡聚糖;荧光素异硫氰酸酯-葡萄聚糖;异硫氰酸荧光素葡聚糖
化学名:Dextran(3’,6’-dihyroxy-3-oxospiro(isobenzofuran-1-(3H),9’-[9Hxanthen]-5(or6)-ylcarbamothiate.
FluoresceinisothiocyanatedextranFluoresceinylthiocarbamoyl-dextran
CASNO:60842-46-8
分子量:
Dextran,Fluorescein,3000MW
Dextran,Fluorescein,10,000MW
Dextran,Fluorescein,40,000MW
Dextran,Fluorescein,70,000MW
Dextran,Fluorescein,500,000MW
Dextran,Fluorescein,2,000,000MW
溶解度:H2O:50mg/mL,slightlyhazy,orange
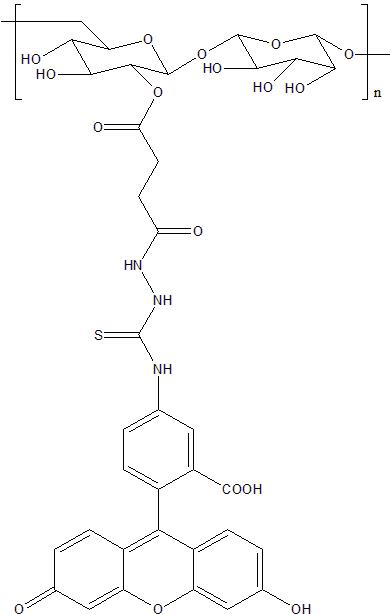
结构式:

FITC-Dextran是由 FITC 偶联葡聚糖形成的一种标记物 (10 kDa)。FITC-Dextran 是由不同长度的支链葡萄糖分子组成的被标记的多糖,可根据所使用的葡聚糖的大小来测定血脑屏障的溶质、离子和蛋白质渗透性。
其它葡聚糖偶联产品:
RB-Dextran
Dextran,RhodamineB,10,000MWD-1824
Dextran,RhodamineB,70,000MWD-1841
Biotin-Dextran
Dextran,Biotin,10,000MWD-1956
Dextran,Biotin,3000MWD-7135
Dextran,Biotin,500,000MWD-7142
Dextran,Biotin,70,000MWD-1957
Dextran,FluoresceinandBiotin,10,000MWD-7178
Dextran,FluoresceinandBiotin,3000MW
Dextran-NH2
Dextran,Amino,10,000MWD-18601g
Dextran,Amino,3000MWD-3330100mg
Dextran,Amino,40,000MWD-18611g
Dextran,Amino,500,000MWD-7144100mg
Dextran,Amino,70,000MWD-18621g
TRITC-Dextran
Dextran,Tetramethylrhodamine,10,000MW,D-1817
Dextran,Tetramethylrhodamine,2,000,000MW,D-7139
Dextran,Tetramethylrhodamine,3000MW,D-3307
Dextran,Tetramethylrhodamineandbiotin,3000MW,D-7162
Dextran,Tetramethylrhodamine,40,000MW,D-1842
Dextran,Tetramethylrhodamine,70,000MW,D-1818
关键字: 60842-46-8;Fitc-Dextran;荧光素异硫氰酸酯-葡聚糖;
西安凯新生物科技有限公司是国内领先生命科学和生物技术领域试剂供应商,从成立初期就致力于为生命科学和生物技术领域提供优质产品和技术服务,力求将最好的产品和服务奉献给我们的客户。
丰富凯新:
合成磷脂、聚乙二醇衍生物、嵌段共聚物、磁性纳米颗粒、纳米金及纳米金棒、近红外荧光染料、活性荧光染料、荧光标记的葡聚糖BSA和链霉亲和素、蛋白交联剂、小分子PEG衍生物、点击化学产品、树枝状聚合物、环糊精衍生物、大环配体类、荧光量子点、透明质酸衍生物、石墨烯或氧化石墨烯、碳纳米管、富勒烯等等,可以满足从毫克级到公斤级的定制需求。
专业凯新:
为满足市场需要,结合中国本土市场的环境和发展,通过筛选,我公司已经和Avanti、cordenpharma、Matreya、nanocs、creative、laysan、Polypure、iris、Lumiprobe、Hampton Research、Worthington、bioaustralis等20多家知名品牌签订代理协议,成为合作伙伴,为中国客户提供各种类高层次的产品和服务。
高效凯新:
凯新与客户齐心协力,共同推进产品突破,为解决迫切需求,我们配备专业的冷藏存储设备,常规试剂有现货。