Product Name:Glucagon
CAS No.:16941-32-5;28270-04-4
Synonyms:Glucagon Hydrochloride;Glucagon (1-29), bovine, human, porcine;Glucagon monohydrochloride
Catalog No.:153P13
Brand:HongTide(上海鸿肽生物)
Description:胰高血糖素又被称为升糖素,是一种由胰脏胰岛α-细胞分泌的激素,可促进胰岛素的分泌。人工合成的胰高血糖素是由29个氨基酸组成直链多肽。胰高血糖素与胰岛素相对抗,起着增加血糖的作用。胰高血糖素具有很强的促进糖原分解和糖异生作用,使血糖明显升高,在生物体内的作用至关重要。
Glucagon is a type of insulin produced by the pancreatic islets α- Hormones secreted by cells can promote the secretion of insulin. The synthetic glucagon is a straight chain peptide composed of 29 amino acids. Glucagon antagonizes insulin and plays a role in increasing blood sugar. Glucagon has a strong role in promoting glycogen decomposition and gluconeogenesis, significantly increasing blood sugar, and its role in organisms is crucial.
Purity (HPLC) ≥98.0%
Single impurity≤2%
Peptide content≥75.0%
Amino Acid Composition≤±15%
Bacterial Endotoxins≤50EU/mg
Solubility:H2O/DMSO
Vacuum-packed with aluminum foil bag or transparent bag.Various weights can be packed according to your requirements.
Storage:Cool dry place( Store at -20°C, away from the light)
Remark:For Research Use Only. Not for human use.
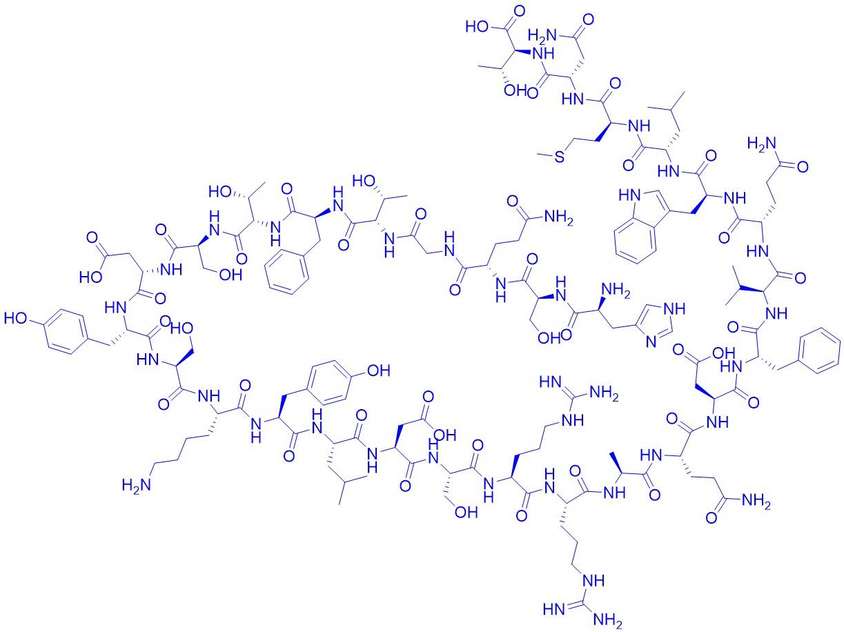
Sequence(1-letter code) | HSQGTFTSDYSKYLDSRRAQDFVQWLMNT |
Sequence(3-letter code) | H-His-Ser-Gln-Gly-Thr-Phe-Thr-Ser-Asp-Tyr-Ser-Lys-Tyr-Leu-Asp-Ser-Arg-Arg-Ala-Gln-Asp-Phe-Val-Gln-Trp-Leu-Met-Asn-Thr-OH |
Peptide Structure | 
|
Molecular Formula | C153H225N43O49S |
Molecular Weight | 3482.8 |
订购联系方式:
上海鸿肽生物科技有限公司
手机: +86-18018095145 (同微信号)
QQ: 3259098395
邮箱:sales1@hongtide.com
关键字: 16941-32-5;Glucagon;28270-04-4;Glucagon Hydrochlori;多肽;
上海鸿肽生物科技有限公司(简称:鸿肽生物)是一家以多肽以及多肽上下游产品研发、生产、销售以及技术转让为主要业 务科技公司。公司现有产品涵盖:定制多肽、目录多肽、氨基酸衍生物、小分子化合物;公司自成立以来,秉持“用质量作船, 以服务为帆,为科研服务”的企业理念,为国内外众多科研工作者提供了优质的服务及产品。