英文名称:DSPE-PEG-Cy5
Cyanine5-PEG-DSPE
中文名称:磷脂-聚乙二醇-氰基Cy5
花青素Cy5-聚乙二醇-磷脂
分子量:1000,2000,3400,5000,10000,20000(可按需定制)
外观:粘稠液体或固体粉末,取决于分子量大小
端基取代率:≥95%
溶解性:溶于大部分有机溶剂,如:DCM、DMF、DMSO、THF等等;溶于水
存储条件:-20°C,避光,避湿
用途:仅用于科学研究或者工业应用等非医疗目的,非药用,非食用
注意事项:取用一定要干燥,避免频繁的溶解和冻干
取用:现配现用,将包装从冰箱中取出,置于干燥器中缓慢升至室温,打开瓶盖,取用。取用后充入惰性气体,封口膜封口,拧紧瓶盖装入自封袋,及时放入冰箱。
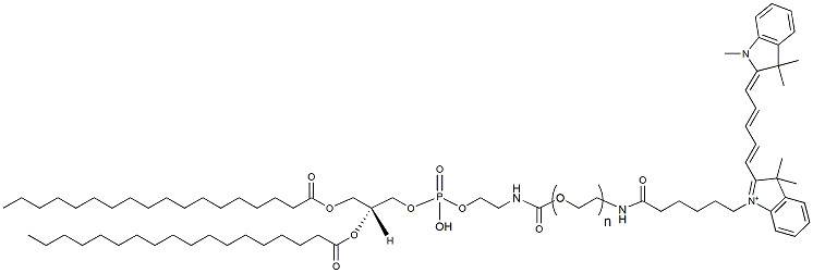
结构式:

产品描述:
DSPE-PEG-Cy5是一种含有Cy5染料的PEG磷脂两亲性聚合物,用于蛋白质/珠心酸标记和荧光显微镜。该聚合物可以在水溶液中自组装以形成胶束/脂质双层,并用于制备用于递送营养物质的脂质体或纳米颗粒,如mRNA或DNA疫苗。DSPE(1,2-二硬脂酰基-sn-甘油-3-磷酸乙醇胺)是一种饱和的18碳磷脂,具有高度疏水性。另一方面,PEG连接体具有良好的亲水性和水溶性。Cy5和DSPE之间的PEG连接体具有良好的水溶性、柔性连接体结构和增加的稳定性。
产品用途:
应用于医学研究,药物释放,纳米技术和新材料研究,细胞培养,以及配体研究,多肽合成支持,接枝高分子化合物,新材料和聚乙二醇改性功能涂层等活性化合物方面。
其他相关产品:
DSPE-PEG-COOH,磷脂PEG羧基,MW:1000
DSPE-PEG-COOH,磷脂PEG羧基,MW:2000
DSPE-PEG-COOH,磷脂PEG羧基,MW:3400
DSPE-PEG-COOH,磷脂PEG羧基,MW:5000
DSPE-PEG-COOH,磷脂PEG羧基,MW:10000
DBCO-PEG-FITC,二苯基环辛炔PEG荧光素,MW:2000
DBCO-PEG-FITC,二苯基环辛炔PEG荧光素,MW:3400
DBCO-PEG-FITC,二苯基环辛炔PEG荧光素,MW:5000
DBCO-PEG-FITC,二苯基环辛炔PEG荧光素,MW:10000
DSPE-PEG-NHS,磷脂PEG活性酯,MW=5000
DSPE-PEG-NHS,磷脂PEG活性酯,MW=3400
DSPE-PEG-NHS,磷脂PEG活性酯,MW=2000
DSPE-PEG-NHS,磷脂PEG活性酯,MW=10000
关键字: DSPE-PEG-Cy5;
西安凯新生物科技有限公司是国内领先生命科学和生物技术领域试剂供应商,从成立初期就致力于为生命科学和生物技术领域提供优质产品和技术服务,力求将最好的产品和服务奉献给我们的客户。
丰富凯新:
合成磷脂、聚乙二醇衍生物、嵌段共聚物、磁性纳米颗粒、纳米金及纳米金棒、近红外荧光染料、活性荧光染料、荧光标记的葡聚糖BSA和链霉亲和素、蛋白交联剂、小分子PEG衍生物、点击化学产品、树枝状聚合物、环糊精衍生物、大环配体类、荧光量子点、透明质酸衍生物、石墨烯或氧化石墨烯、碳纳米管、富勒烯等等,可以满足从毫克级到公斤级的定制需求。
专业凯新:
为满足市场需要,结合中国本土市场的环境和发展,通过筛选,我公司已经和Avanti、cordenpharma、Matreya、nanocs、creative、laysan、Polypure、iris、Lumiprobe、Hampton Research、Worthington、bioaustralis等20多家知名品牌签订代理协议,成为合作伙伴,为中国客户提供各种类高层次的产品和服务。
高效凯新:
凯新与客户齐心协力,共同推进产品突破,为解决迫切需求,我们配备专业的冷藏存储设备,常规试剂有现货。