高纯常规现货,助力科学研究 当天发货 详情联系:鼎信通药业【:丁亮 15871722230(微信同号)QQ一:2796190295、QQ二:2132437702】提供专业技术支持 支持出口 可接受定制
23413-80-1 阿司匹林铝98%|结构式|中间体|检测方法|实验材料
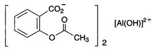
阿司匹林铝
其他名称:乙酰水杨酸铝
分子式:C18H15AlO5
分子量:402.29
CAS:23413-80-1
外观:白色结晶性粉末
质量标准:JP/国家标准
用途:同阿司匹林接近,但对胃黏膜刺激性较小。
结构式:
武汉鼎信通药业有限公司位于湖北武汉市,是一家专业从事科研化学试剂、生物化工原材料、中间体、精细化工、农用科研原料、日用化学品和食品添加剂等产品研究、开发、生产和出口销售融于一体的高科技现代化民营企业。
公司自创建以来坚持走“科技创新”的发展道路,高度重视科技创新研究开发工作,公司高品质产品*北美、西欧、东南亚以及中南美洲等多个*和地区。
武汉鼎信通药业采用高效运行的现代化管理模式及时有效的为国内外客户提供、便捷和完善的产品技术服务。公司奉行以“质量为生命,科技为先导,创新求生存,诚信为本”的企业宗旨,坚持“团结拼搏,追求*,
精益求精,合作发展”的企业理念,诚挚与国内外同仁精诚合作,互利互惠,携手共赢。

优势科研化学试剂原料产品:
塞拉菌素 ;司拉克丁、盐酸大观霉素、硫酸大观霉素(四水)、硫氰酸红霉素、强力霉素碱、、氟苯尼考、硫酸粘杆菌素、新霉素、盐酸强力霉素、恩诺沙星、磺胺甲恶唑、盐酸沙拉沙星、乳酸环丙沙星、盐酸土霉素、泰妙菌素、莫能菌素、替米考星、林可霉素、盐酸金霉素、酒石酸泰万菌素、盐酸林可霉素、泰乐菌素、酒石酸泰乐菌素、磷酸泰乐菌素、盐酸克林霉素、氨苄西林、硫酸庆大霉素、硫酸新霉素、硫酸安普霉素、卡那霉素、单硫酸卡那霉素、硫酸粘菌素、卡巴匹林钙、地克珠利、阿苯达唑、伊维菌素、环丙氨嗪、多杀菌素、延胡索算泰妙菌素、磷酸替米考星、马度米星铵、盐霉素、恩拉霉素、土霉素、莫能菌素钠、头孢唑啉钠;头孢唑林钠、磺胺间甲氧嘧啶、磺胺间甲氧嘧啶钠、磺胺奎恩林钠、磺胺二甲基嘧啶、磺胺二甲基嘧啶呐、磺胺噻唑钠磺胺喹噁啉钠;磺胺喹恶啉钠、磺胺嘧啶、磺胺嘧啶钠、磺胺二甲嘧啶钠、盐酸左旋咪唑、甲氧苄啶;TMP磺胺氯吡嗪钠;三字球虫粉"、甲砜霉素、氯氰碘柳胺钠;氯氰柳胺钠"、莫昔克丁、莫西沙星、盐酸莫西沙星、盐酸诺氟沙星、氟甲喹、盐酸恩诺沙星、米尔贝肟、虱螨脲、烯啶虫胺、多拉菌素、盐酸头孢噻呋、甲硝唑、地克珠利、妥曲珠利、盐酸头孢喹肟、头孢噻呋钠、青霉素钾、盐酸土霉素、盐酸环丙沙星、安乃近、牛磺酸、水杨酸钠、地美硝唑、乙酰甲喹、硫酸头孢喹肟、头孢洛宁、加米霉素、泰地罗新、泰拉霉素、头孢匹林钠、苄星头孢匹林、樟脑磺酸钠、
吡喹酮、氯化铵甲酰甲胆碱、粘菌素甲磺酸钠、氟雷拉纳、阿弗拉纳、萨欧拉纳、洛替拉纳、奥美普林、氟虫腈/非泼罗尼、吡虫隆、盐酸沃尼妙林、匹多莫德
咪唑苯脲、甲氨基阿维菌素苯甲酸盐、地拉考昔、磺胺甲氧哒嗪、磺胺醋酰钠、苯磷硫胺、杀铃脲、克洛索隆、伊卡倍特钠、磺胺脒、敌菌净(二甲氧苄啶)、敌菌净盐酸盐、尼卡巴嗪、沙米珠利、盐酸阿比多尔、黄芪多糖、总黄酮、柴胡皂苷、维生素A、维生素D3、维生素C、维生素K3(MSB);肌醇、维生素E、氯化钠、灰黄霉素、吡哆醇a-酮戊二酸、β-胸苷、腺嘌呤、1,2,3-三乙酰氧基-5-脱氧-D-核糖、二氢吡啶
等高科技原料产品的研究开发、生产和销售。
优势中间体产品:甲萘醌;植物醇;叶绿醇;异植物醇;头孢吡肟母核;7-MPCA;头孢布烯母核;头孢布烯侧链;头孢呋辛酸;溴代乙醛缩二乙醇;氨曲南母核;头孢克肟母核;7-MAC;甲氧头孢;氨基乙醛缩二乙醇;R-二苯基脯氨醇;S-二苯基脯氨醇;S-4-苯基-2-恶唑烷酮;R-9-(2-羟基丙基)腺嘌呤;S-联萘酚;R-联萘酚;L-扁桃酸;腺嘌呤;7-ACCA;3-羟基头孢、D-氨基半乳糖盐酸盐;D-半乳糖烯;DL-对氯扁桃酸;α-甲酰基扁桃酸酰氯(FMC)、N-乙酰基-D-氨基半乳糖;N-乙酰-D-半乳糖胺;
食品添加剂原料: D-五水棉籽糖;D-甘露糖;D-半乳糖;L-阿拉伯糖;D-阿拉伯糖;L-苏糖酸钙;乳糖酸钙;三乙酰葡萄糖烯;D-海藻糖二水物;乳铁蛋白;硫辛酸;磷脂酰胆碱;甘露醇;D-甘露糖醇;D-泛酸钙;生物素;维生素H;维生素D2;维生素D3;叶酸;核黄素磷酸钠

武汉鼎信通药业提供高品质货源随货提供质检单出口标准快递及时送货上门,网络实时追踪,客户满意省心高纯度可根据客户需求分装发货。
武汉鼎信通专注打造科研试剂现货供应商!
声明:本公司供应的产品仅用于工业应用或者科学研究等非医疗目的,不可用于人类或者动物的临床诊断或治疗,非药用,非食用。
产品市场行情有波动,下单前请咨询丁亮获取库存和报价信息,请以实时报价为准!
产品仅供研发使用。
免责声明:本产品不会提供给可能与现有冲突的国家
但是,最终责任由买方承担。
关键字: 阿司匹林铝、硫糖铝;帕潘立酮、帕潘立酮棕榈酸酯、利托那韦、;利福布汀、利福霉素、利托那韦;葡甲胺 葡乙胺 萘普生 萘普生钠 甲萘;乌司他丁、非泼罗尼、氟虫腈、溴氰菊酯、氰;
专业从事科研化学试剂、生物化工原材料、中间体、精细化工、农用科研原料、日用化学品和食品添加剂等高新技术产品研究、开发、生产和出口销售融于一体的高科技现代化民营企业。