阿糖腺苷,Vidarabine
  • 阿糖腺苷,Vidarabine
  • 阿糖腺苷,Vidarabine
  • 阿糖腺苷,Vidarabine
  • 阿糖腺苷,Vidarabine
  • 阿糖腺苷,Vidarabine

阿糖腺苷 Vidarabine 阿糖腺嘌吟 9-Β-D-糖呋喃腺嘌呤 5536-17-4 新品

价格 询价
包装 2000KG 200KG 25KG
最小起订量 1KG
发货地 湖北
更新日期 2025-10-25
QQ交谈 微信洽谈

产品详情

中文名称:阿糖腺苷英文名称:Vidarabine
CAS:5536-17-4品牌: 鸿福达
产地: 江苏纯度规格: 99%
产品类别: 医药中间体
级别: 医药级别名: 阿糖腺嘌吟 9-Β-D-糖呋喃腺嘌呤
用途: 医药中间体
2025-10-25 阿糖腺苷 Vidarabine 2000KG/RMB;200KG/RMB;25KG/RMB 鸿福达 江苏 99% 医药中间体

产品名称:阿糖腺苷

英文名称:Vidarabine

中文别名:阿糖腺嘌吟  9-Β-D-糖呋喃腺嘌呤

CAS No: 5536-17-4

分子式:C10H13N5O4

分子量:267.24

EINECS 登录号: 226-893-9

结构式:

                     阿糖腺苷 结构式



性状:白色细小针状结晶或结晶粉末:无臭.无味

储存条件:-20℃

主要用途:用于治疗单纯疱疹病毒性脑膜炎,也用于免疫抑制病人的带状疱疹和水痘感染


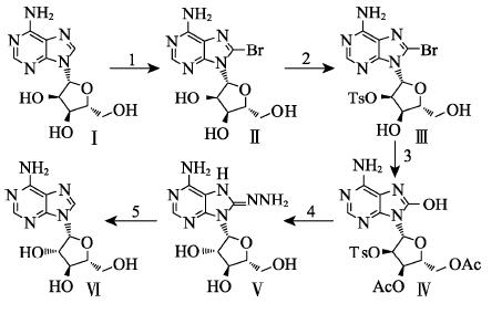
制备


阿糖腺苷的合成路线





关键字: 阿糖腺苷;Vidarabine;阿糖腺嘌吟;9-Β-D-糖呋喃腺嘌呤; 5536-17-4;

公司简介

湖北鸿福达生物科技有限公司(南京百慕达生物科技有限公司)成立2022年02月24日,坐落于素有”九省通衢“的湖北省武汉市,公司是从事精细化工,光引发剂,紫外线吸收剂,抗氧剂,化工中间体、新材料、固化剂原料、水处理化学品、香精香料、化工助剂等产品的研发、开发、销售于一体的化工科技企业,为适应公司业务增长需求,公司相继在深圳、杭州、昆山、武汉设立发货点,公司目前主营五倍子系列产品,主要有:五倍子;工业级单宁酸、食品级单宁酸、染料级单宁酸、高纯单宁酸;工业没食子酸、试剂级没食子酸、电子级没食子酸;工业焦性没食子酸、CP级焦性没食子酸、AR级焦性没食子酸、电子级焦性没食子酸;没食子酸甲酯、没食子酸丙酸;3.4.5-三甲氧基苯甲酸、3.4.5-三甲氧基苯甲酸甲酯;丁香酸;1.2.3-三甲氧基苯、2.3.4-三羟基苯甲醛、2.3.4-三甲氧基苯甲醛、2.3.4-三羟基二苯甲酮,2.3.4.4'-四羟基二苯甲酮。没食子酸辛酯,没食子酸丙酯,没食子酸甲酯,鞣花酸.3,4,5-三甲氧基苯甲酸甲酯,2,3,4-三甲氧基苯甲醛,鞣花酸.邻香草醛,邻位香兰素,香兰素,乙基香兰素,羟甲香豆素,4-羟基香豆素,六苯氧基环三磷腈,六氯环三磷腈,苯基磷酸,苯基次磷酸,孟鲁司特钠,2-硫脲嘧啶,尿嘧啶,胞嘧啶,聚苯胺本征态,聚苯胺导电态,甘氨酸甲酯盐酸盐,甘氨酸乙酯盐酸盐。三羟基氨基甲烷,硫氰酸胍,异硫氰酸胍,盐酸胍,碳酸胍,聚六亚甲基单胍盐酸盐,功夫酸,卡龙酸酐,2-硫脲嘧啶,邻苯二甲醛,光引发剂tpo tpol 184 907 1173 2959 807 605 BP 等产品 经过一年多的发展, 公司目前拥有出口自主权,公司的目标是立足中国,服务,公司秉承“坦诚、勤奋、求精、向上”的企业精神,奉行“质量是生命、服务是灵魂“的企业经营理念。以客户为中心,以完善产品质量和维护消费者利益为根本,诚信稳健、注重与合作伙伴的共赢,建立完善的市场管理体系和产品质量控制体系,实行客户网络化、数据化、信息化。合作是一种机缘,我们将以质量和诚信让您满意!
成立日期 2022-02-24 (4年) 注册资本 1100000
员工人数 1-10人 年营业额 ¥ 500万-1000万
主营行业 化学试剂,医药中间体,合成材料中间体,农药中间体,染料中间体 经营模式 贸易,工厂,试剂,定制,服务
  • 湖北鸿福达生物科技有限公司
VIP 1年
  • 公司成立:4年
  • 注册资本:1100000
  • 企业类型:一般纳税人 制造 贸易
  • 主营产品:五倍子系列产品主要有:五倍子;工业级单宁酸、食品级单宁酸、染料级单宁酸、高纯单宁酸;工业没食子酸、试剂级没食子酸、电子级没食子酸;工业焦性没食子酸、CP级焦性没食子酸、AR级焦性没食子酸、电子级焦性没食子酸;没食子酸甲酯、没食子酸丙酸;3.4.5-三甲氧基苯甲酸、3.4.5-三甲氧基苯甲酸甲酯;丁香酸;1.2.3-三甲氧基苯、2.3.4-三羟基苯甲醛、2.3.4-三甲氧基苯甲醛、2.3.4-三羟基二苯甲酮,2.3.4.4'-四羟基二苯甲酮。没食子酸辛酯,没食子酸丙酯,没食子酸甲酯,鞣花酸.3,4,5-三甲氧基苯甲酸甲酯,2,3,4-三甲氧基苯甲醛,鞣花酸.
  • 公司地址:武汉市武昌区首义路街街道天伦万金1栋2516#18086404407--17340521416 qq:2186239902
询盘

阿糖腺苷 Vidarabine 阿糖腺嘌吟 9-Β-D-糖呋喃腺嘌呤 5536-17-4相关厂家报价

更多
产品名称 价格   公司名称 报价日期
¥100
VIP7年
湖北阡陌生物科技有限公司
2025-10-25
询价
VIP3年
武汉鼎程生科化学试剂有限公司
2025-10-25
询价
VIP6年
湖北威德利化学试剂有限公司
2025-10-25
¥3000
VIP6年
武汉克米克生物医药技术有限公司
2025-10-25
¥60
VIP6年
上海康朗生物科技有限公司
2025-10-24
询价
VIP6年
武汉华玖医药科技有限公司
2025-10-24
询价
VIP3年
新乡市翌诚生物科技有限公司
2025-10-24
询价
中国食品药品检定研究院
2025-10-24
询价
VIP6年
众鑫辰实(武汉)科技有限公司
2025-10-24
询价
VIP5年
武汉东康源科技有限公司
2025-10-23
内容声明:
以上所展示的信息由商家自行提供,内容的真实性、准确性和合法性由发布商家负责。 商家发布价格指该商品的参考价格,并非原价,该价格可能随着市场变化,或是由于您购买数量不同或所选规格不同而发生变化。最终成交价格,请咨询商家,以实际成交价格为准。请意识到互联网交易中的风险是客观存在的
主页 | 企业会员服务 | 广告业务 | 联系我们 | 旧版入口 | 中文MSDS | CAS Index | 常用化学品CAS列表 | 化工产品目录 | 新产品列表 |投诉中心
Copyright © 2008 ChemicalBook 京ICP备07040585号  京公海网安备110108000080号  All rights reserved.