枸橼酸钾
Juyuansuanjia
Potassium Citrate

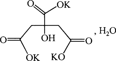
C6H5K3O7•H2O 324.41
[6100-05-6]
本品为2-羟基丙烷-1,2,3-三羧酸钾一水合物。按无水物计算,含C6H5K3O7不得少于99.0%。
【性状】 本品为白色颗粒状结晶或结晶性粉末;无臭;微有引湿性。
本品在水或甘油中易溶,在乙醇中几乎不溶。
【鉴别】 本品显钾盐与枸橼酸盐的鉴别反应(通则0301)。
【检查】 酸碱度 取本品2.0g,加水25ml溶解后,加麝香草酚蓝指示液1滴;如显蓝色,加盐酸滴定液(0.1mol/L)0.20ml,应变为黄色;加氢氧化钠滴定液(0.1mol/L)0.20ml,应变为蓝色。
氯化物 取本品0.20g,依法检查(通则0801),与标准氯化钠溶液7.0ml制成的对照液比较,不得更浓(0.035%)。
硫酸盐 取本品0.20g,依法检查(通则0802),与标准硫酸钾溶液3.0ml制成的对照液比较,不得更浓(0.15%)。
易炭化物 取本品0.50g,加硫酸[含H2SO4 94.5%~95.5%(g/g)]5ml,置水浴中加热1小时,立即冷却,依法检查(通则0842),与对照液(取比色用氯化钴液0.5ml与比色用重铬酸钾液4.5ml混合)比较,不得更深。
草酸盐 取本品1.0g,加水1ml与稀盐酸3ml使溶解,加90%乙醇4ml与氯化钙试液4滴,静置1小时,不得发生浑浊。
水分 取本品约0.1g,精密称定,加无水甲醇70ml,搅拌5分钟,照水分测定法(通则0832第一法1)测定,含水分应为4.0%~7.0%。
重金属 取本品2.0g,加水10ml溶解后,加稀盐酸5ml与水适量使成25ml,依法检查(通则0821第一法),含重金属不得过百万分之十。
砷盐 取本品1.0g,加水23ml溶解后,加盐酸5ml,依法检查(通则0822第一法),应符合规定(0.0002%)。
【含量测定】 取本品约80mg,精密称定,加冰醋酸20ml与醋酐2ml,加热使溶解,放冷后,加结晶紫指示液1滴,用高氯酸滴定液(0.1mol/L)滴定至溶液显蓝色,并将滴定的结果用空白试验校正。每1ml高氯酸滴定液(0.1mol/L)相当于10.21mg的C6H5K3O7。
【类别】 碱性钾盐。
【贮藏】 密封保存。
【制剂】 枸橼酸钾颗粒
关键字: 药用枸橼酸钠;有质检单的枸橼酸钠;500g起的枸橼酸钠;有批件的枸橼酸钠;资质齐全的枸橼酸钠;
位于古都西安,致力于药用辅料行业,秉承为客户提供优质服务,供应优质合格产品为己任,期待您的光临合作。 公司主要经营范围:公司主要给医院制剂室、皮肤所、防疫站、学校、卫生院、实验室、保健品厂、药厂等需要药用辅料的单位,提供各种医药辅料,试剂,中间体,提取物,消毒产品,化工原料和精细化学品等。此外为了满足客户需要我公司推出送货服务(凡是西安市二环内,购买2件产品,我公司给予免费送货服务。)