基本信息

产品编号:P0811
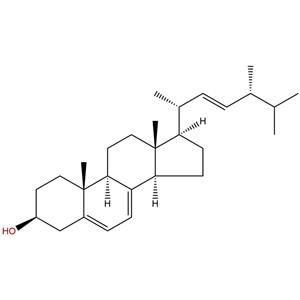
英文名:Ergosterol
别名:Ergosterol
分子式:C28H44O
分子量:C28H44O
来源:上海
性状:white flaky or needle crystal
化合物种类:甾体类
生物活性
Ergosterol (Chinensioside+B) 是从毛茛科 Pulsatilla chinensis 根中分离得到的一种三萜皂苷
使用说明
1. 收货与核对
收到麦角甾醇(麦角固醇)后,请仔细核对包装内物品是否齐全。如有遗漏,请立即联系售后服务。
2. 获取随附资料
纸质版本:随货包装内附送。
官网下载:访问纯优生物官网对应产品详情页中下载。
人工索取:致电或邮件联系官方客服咨询。
3. 低温包装须知
若收货时如冰袋已融化,请勿担忧。大部分产品在室温下稳定,低温包装仅为极端运输条件预防措施,Ergosterol 产品质量不受影响。极少数特殊敏感产品会有额外低温处理。
4. 储存要求
请严格遵循 Ergosterol 产品附带的 COA (产品分析报告) 中明确的储存条件及注意事项。一般而言,糖苷类化合物建议在干燥、避光、低温环境下保存,以确保最佳稳定性。
5. 其它说明
作为标准品或者小分子活性物质使用时,请参考相关文献。
Ergosterol 标准品用途
Ergosterol 在提取、纯化、产品质量控制以及相关科学研究中,其分析标准品发挥着至关重要的作用。
定性分析:
鉴别和确证:在从植物中提取或合成麦角甾醇(麦角固醇)的过程中,其标准品用于与待测样品(如粗提物或纯化中间体)进行对照。通过高效液相色谱(HPLC)、薄层色谱(TLC)或核磁共振(NMR)等技术,比对标准品的色谱保留时间、光谱数据(如紫外吸收光谱、质谱碎片模式)等特征,可以快速、准确地确认样品中是否存在 麦角甾醇(麦角固醇)。
定量分析:
产品纯度测定:通过HPLC等方法,建立标准曲线,可以准确测定批次产品的含量,确保产品符合质量标准。
分析方法开发与验证:在开发用于 Ergosterol 的新分析方法(如新的HPLC方法)时,标准品是评估方法准确度、精密度、线性范围、检测限和定量限的关键。例如,通过向空白基质中添加已知量的标准品,进行回收率实验,以验证方法的提取和测定效率。
仪器校准:HPLC、UV-Vis分光光度计等分析仪器在测定 Ergosterol 之前,需要使用标准品进行校准,确保仪器响应的准确性。
系统适用性试验(SST):在日常的色谱分析中,定期进样 Ergosterol 标准品,监测其色谱峰形、保留时间、分离度等参数,以确保色谱系统处于最佳工作状态,提供可靠的分析结果。
稳定性研究:在评估 Ergosterol 产品或制剂的储存稳定性时,标准品用于作为对照,定量监测不同储存条件下的降解情况。
相关产品:
P2373 | 表大戟二烯醇 | (13alpha,14beta,17al | 514-46-5 | HPLC≥98% |
P3365 | 人参黄酮苷 | Panasenoside | 31512-06-8 | HPLC≥98% |
P7798 | Sequirin C | Sequirin C | 18194-29-1 | HPLC≥98% |
P9733 | 双旋覆花内酯丁 | Japonicone D | 1078711-42-8 | HPLC≥98% |
P6284 | Clematomandshurica saponin B | Clematomandshurica s | 916649-91-7 | HPLC≥98% |
关键字: 57-87-4;麦角甾醇(麦角固醇);Ergosterol;标准品;对照品;
上海纯优生物科技有限公司是一家集研发、销售与技术服务为一体的高新技术企业,公司专业经营生命科学领域的研究试剂、仪器和实验室消耗品,并提供生命科学前沿研究技术服务,致力于打造一个专业的一站式购物和服务平台,高质高效的向国内生命科学研究人员提供一流的工具和服务。
纯优生物供应的产品和技术服务涵盖生命科学研究技术的诸多方面,包括微生物学、分子生物学、细胞生物学、免疫学、蛋白研究、信号传导和神经科学等领域。
公司产品种类齐全,可提供在各个领域的国际知名品牌产品,如:Amresco、sigma、Wako、Merck、millipore、Invitrogen、fermentas、abcam、R&D、Roche、BD、Pierce 、Pharmacia 、Hyclone 、Nalgene、Axygen、