基本信息

产品编号:P2026
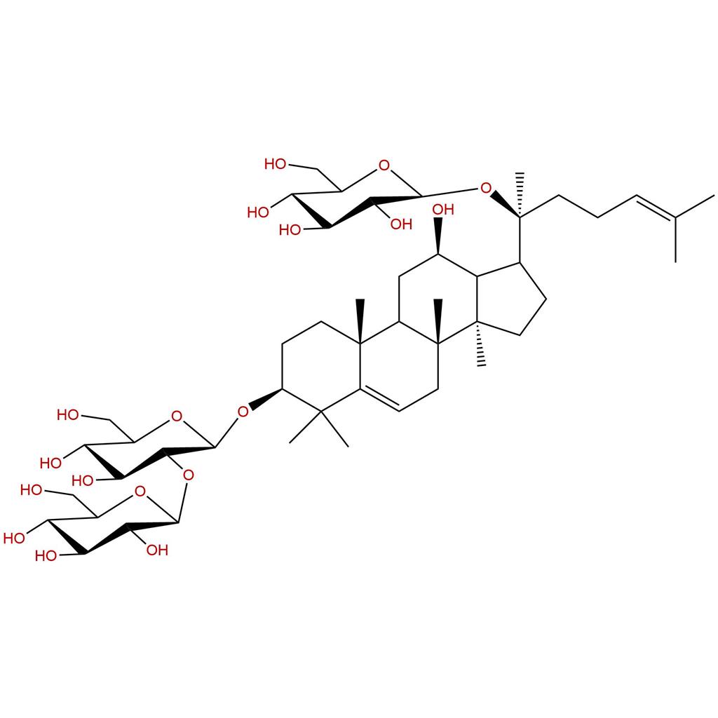
英文名:5,6-dehydrogensenoside Rd
别名:5,6-dehydrogensenoside Rd
分子式:C48H80O18
分子量:945.13
来源:上海
性状:白色结晶性粉末
化合物种类:三萜皂苷类
生物活性
5,6-dehydrogensenoside Rd (Chinensioside+B) 是从毛茛科 Pulsatilla chinensis 根中分离得到的一种三萜皂苷
使用说明
1. 收货与核对
收到5,6-脱氢人参皂苷Rd后,请仔细核对包装内物品是否齐全。如有遗漏,请立即联系售后服务。
2. 获取随附资料
纸质版本:随货包装内附送。
官网下载:访问纯优生物官网对应产品详情页中下载。
人工索取:致电或邮件联系官方客服咨询。
3. 低温包装须知
若收货时如冰袋已融化,请勿担忧。大部分产品在室温下稳定,低温包装仅为极端运输条件预防措施,5,6-dehydrogensenoside Rd 产品质量不受影响。极少数特殊敏感产品会有额外低温处理。
4. 储存要求
请严格遵循 5,6-dehydrogensenoside Rd 产品附带的 COA (产品分析报告) 中明确的储存条件及注意事项。一般而言,糖苷类化合物建议在干燥、避光、低温环境下保存,以确保最佳稳定性。
5. 其它说明
作为标准品或者小分子活性物质使用时,请参考相关文献。
5,6-dehydrogensenoside Rd 标准品用途
5,6-dehydrogensenoside Rd 在提取、纯化、产品质量控制以及相关科学研究中,其分析标准品发挥着至关重要的作用。
定性分析:
鉴别和确证:在从植物中提取或合成5,6-脱氢人参皂苷Rd的过程中,其标准品用于与待测样品(如粗提物或纯化中间体)进行对照。通过高效液相色谱(HPLC)、薄层色谱(TLC)或核磁共振(NMR)等技术,比对标准品的色谱保留时间、光谱数据(如紫外吸收光谱、质谱碎片模式)等特征,可以快速、准确地确认样品中是否存在 5,6-脱氢人参皂苷Rd。
定量分析:
产品纯度测定:通过HPLC等方法,建立标准曲线,可以准确测定批次产品的含量,确保产品符合质量标准。
分析方法开发与验证:在开发用于 5,6-dehydrogensenoside Rd 的新分析方法(如新的HPLC方法)时,标准品是评估方法准确度、精密度、线性范围、检测限和定量限的关键。例如,通过向空白基质中添加已知量的标准品,进行回收率实验,以验证方法的提取和测定效率。
仪器校准:HPLC、UV-Vis分光光度计等分析仪器在测定 5,6-dehydrogensenoside Rd 之前,需要使用标准品进行校准,确保仪器响应的准确性。
系统适用性试验(SST):在日常的色谱分析中,定期进样 5,6-dehydrogensenoside Rd 标准品,监测其色谱峰形、保留时间、分离度等参数,以确保色谱系统处于最佳工作状态,提供可靠的分析结果。
稳定性研究:在评估 5,6-dehydrogensenoside Rd 产品或制剂的储存稳定性时,标准品用于作为对照,定量监测不同储存条件下的降解情况。
相关产品:
| P3268 | 羟基淫羊藿苷 | Hydroxyl icariin | 2043020-08-0 | HPLC≥98% |
| P5818 | 2''-O-p-香豆酰基牡荆素 | Vitexin 2''-O-p-coum | 59282-55-2 | HPLC≥98% |
| P0189 | β-谷甾醇 | β-Sitosterol | 19044-06-5 | HPLC≥98% |
| P0691 | 升麻酮醇-3-O-α-L-拉伯糖苷 | Cimigenol-3-O-α-L-ar | 256925-92-5 | HPLC≥98% |
| P7105 | Shizukanolide F | Shizukanolide F | 120061-96-3 | HPLC≥98% |
关键字: 1268459-68-2;5,6-脱氢人参皂苷Rd;5,6-dehydrogensenoside Rd;标准品;对照品;
上海纯优生物科技有限公司是一家集研发、销售与技术服务为一体的高新技术企业,专业从事植物提取物、天然产物活性成分单体的提取、分离和纯化,中药化学对照品、分析标准品的自主研发、生产和销售。
本公司可提供的产品和技术服务还涵盖生命科学研究技术的诸多方面,包括微生物学、分子生物学、细胞生物学、免疫学、蛋白研究、信号传导和神经科学等领域,包括生命科学领域的研究试剂、仪器和实验室消耗品,并提供生命科学前沿研究技术服务。
公司优势供应上万种自制对照品标准品,十多万种常规生化试剂,可满足客户的不同科研产品采购需求,一站式供应,致力于打造一个专业的一站式购物和服务平台,高质高效的向国内外生命科学研究人员提供一流的工具和服务。