chemicalbook
logo 植物提取物
杠柳

杠柳

拼音:Gàng Liǔ 英文名称:Periploca sepium Bung. 科目:夹竹桃科

杠柳是夹竹桃科杠柳属植物,杠柳属有四种,都是典型的有毒药用植物,以治疗风湿为名。同属还有三种,青蛇藤、多花青蛇藤、黑龙骨。杠柳北方比较常见,另外三种主要在云贵川地区。

别名

山五加皮、香加皮、北五加皮

化学成分

茎和根皮含甾类成分:杠柳苷A~N、杠柳苷元等;强心苷类成分:杠柳毒苷、杠柳次苷等;阿尔廷型三萜成分:环桉烯醇 等;还含 α-香树脂醇乙酸酯、羽扇豆醇乙酸酯、东莨菪内酯等。

植物形态

长达4米;主根圆柱形,灰褐色;茎灰褐色;小枝常对生;叶膜质,披针状长圆形;聚伞花序腋生,常成对,副花冠裂片无毛;蓇葖果圆柱形;种子窄长圆形;花期5-6月;果期7-9月。

生长环境

生于沙质地或山坡上。分布于黑龙江、吉林、辽宁、河北、山西、内蒙古、陕西、甘肃、宁夏、山东、江苏、河南、四川等地。

功效作用

*药用:根皮、茎皮可药用,能祛风湿、壮筋骨强腰膝、强心利尿、止痛杀虫等;治风湿关节炎、筋骨痛等,我国北方都以杠柳的根皮称“北五加皮”,浸酒,功用与五加皮略似。
*杀虫药:根皮可以做杀虫药;
*榨油:种子可以榨油;
*工业原料:基叶的乳可以提取弹性橡胶;
*制炭:可以作为薪炭材;
*生态修复:杠柳耐寒耐旱、耐瘠薄、耐阴、对土壤适应性强,是生态保护先锋植物,可以防风固沙、矿山修复、边坡治理、防止水土流失等等。

临床应用

利水消肿,祛风湿,强筋骨。适用于下肢水肿,心悸气短,风寒湿痹,腰膝酸软。

不良反应

香加皮功用与南五加皮略似,但有毒,不可过量或久服,以免中毒。本品含有杠柳毒苷,其结构清楚,作用明确,不良反应的临床表现主要为心脏和消化系统症状。

炮制方法

春、秋两季采挖根部,趁湿敲打,除去木心,皮晒干。

相关植物

天然产物

相关供应商
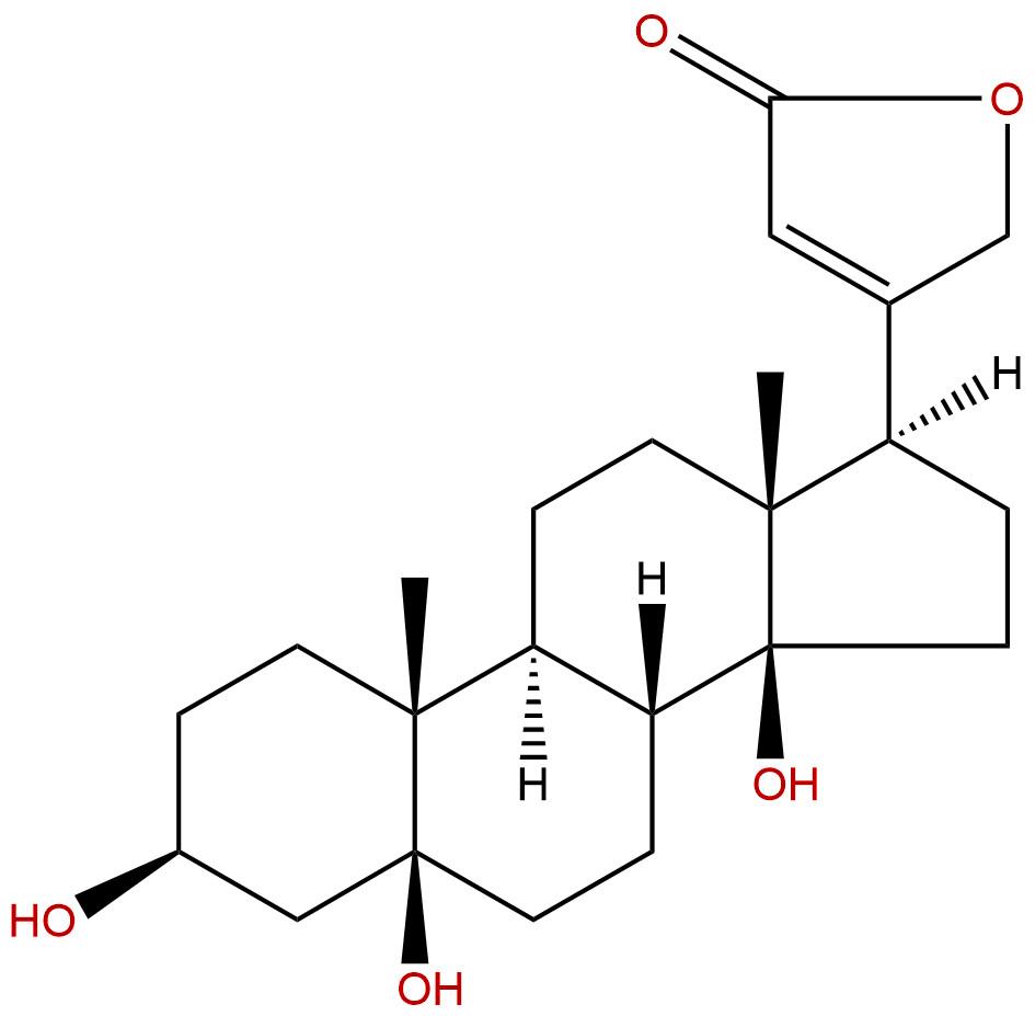
杠柳苷元
杠柳苷元
¥100/1支
上海纯优生物科技有限公司
2025-12-05
杠柳毒苷
杠柳毒苷
¥1.00/20MG
成都瑞芬思德丹生物科技有限公司
2025-12-05
杠柳毒苷
杠柳毒苷
¥1/西林瓶包装无
成都草源康生物科技有限公司
2025-12-05
杠柳苷元
杠柳苷元
5mg
湖北萃园生物科技有限公司
2025-12-03
杠柳毒苷
杠柳毒苷
¥0/20mg/支
中国食品药品检定研究院
2025-11-25
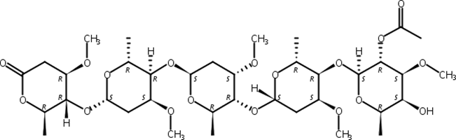
乙酰杠柳寡糖C
乙酰杠柳寡糖C
5mg
成都彼样生物科技有限公司
2025-11-24