| Identification | Back Directory | [Name]
2,6-DIISOPROPYLPHENYLIMIDO NEOPHYLIDENEMOLYBDENUM(VI) BIS(T-BUTOXIDE) | [CAS]
126949-65-3 | [Synonyms]
2,6-Diisopropylphenylimido neophylidenemolybdenum(Ⅵ)bis(t-butoxide) 2,6-Diisopropylphenylimidoneophylidenebis(tert-butoxy)molybdenum(VI) 2,6-DIISOPROPYLPHENYLIMIDO NEOPHYLIDENEMOLYBDENUM(VI) BIS(T-BUTOXIDE) 2,6-Diisopropylphenylimidoneophylidenemolybdenum(VI)bis(tert-butoxide) | [Molecular Formula]
C30H47MoNO2 | [MDL Number]
MFCD00142847 | [MOL File]
126949-65-3.mol | [Molecular Weight]
549.64 |
| Questions And Answer | Back Directory | [Reaction]
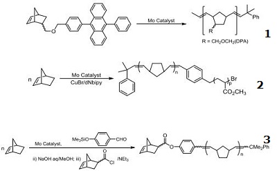
- Catalyst for synthesis of blue-light-emitting electroluminescent diphenylanthracene polymer from norbornene monomer by ROMP.
- Catalyst for transformation of ROMP into controlled atom transfer radical polymerization for the preparation of block copolymers.
- Catalyst for synthesis of various ring-opened poly(norbornene) derivatives by the ring-opening metathesis polymerizations.
- Catalysts for stereoselective cyclopolymerization of 1,6-heptadiynes.
- Catalyst for synthesis various (linear, triarms, ABA or ABCBA type) amphiphilic multiblock copolymers containing acetal-protected sugars by the coupling of an end-functionalized ROMP copolymer with poly(ethylene glycol).
- Catalyst for two-step method synthesis of ROMP/AP polycyclopentene/polystyrene and polynorbornene/polystyrene diblock copolymers.
- Catalyst for synthesis of poly(homoisobutylene) and poly(homo-ɑ-methylstyrene) via ROMP.
- Catalyst for the Z-selective and syndioselective polymerization of NBDF6 and MPCP.
- Catalyst for regioselective cyclopolymerization of 1,7-octadiynes.
- Catalyst for stereospecific ring-opening metathesis polymerization of norbornene and tetracyclododecene.


|
|
| Company Name: |
SIGMA-RBI
|
| Tel: |
800 736 3690 (Orders) |
| Website: |
www.sigma-aldrich.com |
|