ChemicalBook--->CAS DataBase List--->133628-76-9

133628-76-9

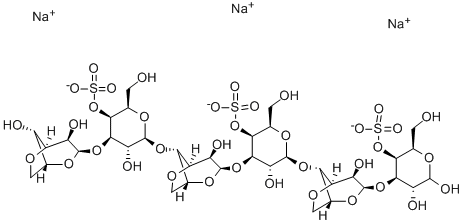
133628-76-9 Structure

133628-76-9 Structure
IdentificationBack Directory
[Name]

NEOCARRABIOSE-4 1,3,5-TRI-O-SULPHATE (NA+)
[CAS]

133628-76-9
[Synonyms]

HDUOMKXATNGAIE-MBEPBFIYSA-K
NEOCARRABISOE-4 1,3,5-TRI-OSULPHATE (NA+)
NEOCARRABIOSE-4 1,3,5-TRI-O-SULPHATE (NA+)
Neocarrahexaose-4(1,3,5)-tri-O-sulfate, 3Na
NEOCARRAHEXAOSE-4(1,3,5)-TRI-O-SULPHATE (NA+)
neocarrahexaose 41,43,45-trisulfate*trisodium
Neocarrahexaose-41,3,5-tri-O-sulfate sodiuM salt
Neocarrahexaose 41,43,45-trisulfate trisodium salt
NEOCARRAHEXAOSE-4(1,3,5)-TRI-O-SULFATE, TRISODIUM SALT
O-3,6-Anhydro-alpha-D-galactopyranosyl-(1-3)-O-4-O-sulfo-beta-D-galactopyranosyl-(1-4)-O-3,6-anhydro-alpha-D-galactopyranosyl-(1-3)-O-4-O-sulfo-beta-D-galactopyranosyl-(1-4)-O-3,6-anhydro-alpha-D-galactopyranosyl-(1-3)-D-galactose 4-(hydrogen sulfate) trisodium salt
[Molecular Formula]

C36H53Na3O37S3
[MDL Number]

MFCD00133663
[MOL File]

133628-76-9.mol
[Molecular Weight]

1242.95
Chemical PropertiesBack Directory
[storage temp. ]

2-8°C
Safety DataBack Directory
[WGK Germany ]

3
133628-76-9 suppliers list
Company Name: BOC Sciences
Tel: +1-631-485-4226
Website: https://www.bocsci.com/
Company Name: Shanghai Saikerui Biotechnology Co. , Ltd.  
Tel: 021-58000709 15900491054
Website: http://www.scrbio.com/
Company Name: Shanghai Beiwanta Biotechnology Co., Ltd.  
Tel: 021-67187366 19901745723
Website: http://www.bwtlab.com/
Company Name: SHANGHAI ZZBIO CO., LTD.  
Tel: 15102117276 19921389125
Website: www.zzsrm.cn/
Company Name: Shanghai Weiyite Biotechnology Co., Ltd  
Tel: 15317051735
Website: www.wytsci.com
Company Name: Biosynth Biological Technology (Suzhou) Co Ltd  
Tel: 51288865780
Website: www.biosynth.com
Company Name: Carbosynth  
Tel: +86 512 6260 5585
Website: www.carbosynth.com
Company Name: Shanghai Hao Zhun Biological Technology Co., Ltd.  
Tel: 15800340161
Website: www.zzsrm.com
Company Name: Carbosynth China Ltd.   
Tel: +86 (512) 6260-5585
Website: www.carbosynth.cn
Company Name: Riedel-de Haen AG  
Tel: 800 558-9160
Website: www.sigmaaldrich.com
Company Name: SIGMA-RBI  
Tel: 800 736 3690 (Orders)
Website: www.sigma-aldrich.com
Company Name: EMD Biosciences, Inc.  
Tel: 858 450 5500
Website: www.calbiochem.com
Company Name: PARAGOS  
Tel: +49 (69) 4109 2191
Website: www.paragos.com
Company Name: Dextra Laboratories Ltd.  
Tel: 44 118 935 7000
Website: www.dextra-labs.co.uk
Tags:133628-76-9 Related Product Information

  • HomePage | Member Companies | Advertising | Contact us | Previous WebSite | MSDS | CAS Index | CAS DataBase | Privacy | Terms | About Us
  • All products displayed on this website are only for non-medical purposes such as industrial applications or scientific research, and cannot be used for clinical diagnosis or treatment of humans or animals. They are not medicinal or edible.
    According to relevant laws and regulations and the regulations of this website, units or individuals who purchase hazardous materials should obtain valid qualifications and qualification conditions.
  • Copyright © 2023 ChemicalBook All rights reserved.