| Identification | Back Directory | [Name]
Methanesulfonato2-Di-t-butylphosphino-2'-(N,N-dimethylamino)biphenyl)(2'-amino-1,1'-biphenyl-2-yl)palladium(II) | [CAS]
1445085-92-6 | [Synonyms]
t-BuDavePhos Pd G3 Methanesulfonato2-Di-t-butylphosphino-2'-(N,N-dimethylamino)biphenyl)(2'-amino-1,1'-biphenyl-2-yl)palladium(II) | [Molecular Formula]
C35H45N2O3PPdS | [MOL File]
1445085-92-6.mol | [Molecular Weight]
711.21 |
| Questions And Answer | Back Directory | [Reaction]
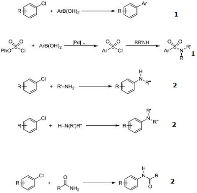
- Palladium precatalyst for Suzuki-Miyaura coupling reactions.
- Palladium precatalyst for arylation reactions of primary amines, secondary amines, primary amides, phenols, alcohols, tert-butyl acetate.
- Palladium precatalyst for fluorination reactions

|
| Hazard Information | Back Directory | [Uses]
| [General Description]
tBuDavePhos Pd G3 is a third generation (G3) Buchwald precatalyst. It is air, moisture and thermally-stable and is highly soluble in a wide range of common organic solvents. It has a long life in solutions. tBuDavePhos Pd G3 is an excellent reagent for palladium catalyzed cross-coupling reactions. Some of its unique features include lower catalyst loadings, shorter reaction time, efficient formation of the active catalytic species and accurate control of ligand: palladium ratio. | [reaction suitability]
core: palladium reaction type: Buchwald-Hartwig Cross Coupling Reaction reaction type: Heck Reaction reaction type: Hiyama Coupling reaction type: Negishi Coupling reaction type: Sonogashira Coupling reaction type: Stille Coupling reaction type: Suzuki-Miyaura Coupling reagent type: catalyst reaction type: Cross Couplings |
|
| Company Name: |
Sigma-Aldrich
|
| Tel: |
021-61415566 800-8193336 |
| Website: |
https://www.sigmaaldrich.cn |
| Company Name: |
Alfa Chemistry
|
| Tel: |
1-516-6625404 |
| Website: |
https://www.alfa-chemistry.com |
| Company Name: |
LaaJoo
|
| Tel: |
021-60702684 18516024827 |
| Website: |
www.chemicalbook.com/ShowSupplierProductsList20079/0_EN.htm |
|