| Identification | Back Directory | [Name]
2,4,6-TRIS(4-AMINOPHENYL)-1,3,5-TRIAZINE | [CAS]
14544-47-9 | [Synonyms]
TZ411 TRZ11 6-TRIS(4-AMINOPHENYL)-1 2,4,6-TRIS(4-AMINOPHENYL)-1,3,5-TRIAZINE 4,4',4''-(1,3,5-Triazine-2,4,6-triyl)trianiline 4,4',4''-(1,3,5-triazine-2,4,6-triyl)tris-benzenamine PH042, 4,4',4''-(1,3,5-Triazine-2,4,6-triyl)trianiline Benzenamine, 4,4',4''-(1,3,5-triazine-2,4,6-triyl)tris | [Molecular Formula]
C21H18N6 | [MDL Number]
MFCD04116311 | [MOL File]
14544-47-9.mol | [Molecular Weight]
354.41 |
| Chemical Properties | Back Directory | [Melting point ]
380-382℃ | [Boiling point ]
705.2±70.0 °C(Predicted) | [density ]
1.303±0.06 g/cm3(Predicted) | [storage temp. ]
Keep in dark place,Sealed in dry,Room Temperature | [form ]
powder to crystal | [pka]
3.68±0.10(Predicted) | [color ]
White to Yellow to Green |
| Hazard Information | Back Directory | [Synthesis]
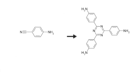
4,4',4''-(1,3,5-Triazine-2,4,6-triyl)trianiline was synthesised by the reaction of using 4-Aminobenzonitrile as a raw material.
 |
|
|