ChemicalBook--->CAS DataBase List--->1628047-87-9

1628047-87-9

1628047-87-9 Structure

1628047-87-9 Structure
IdentificationBack Directory
[Name]

1-((4'-chloro-5,5-dimethyl-3,4,5,6-tetrahydro-[1,1'-biphenyl]-2-yl)methyl)piperazine dihydrochloride
[CAS]

1628047-87-9
[Synonyms]

abt199 int 1
5-dimethyl-3
1-((4-chloro-5
ABT199 intermediate1
ABT-199 Intermeidate1
Venetoclax Intermediate 2
1-biphenyl]-2-yl)methyl)piperazine dihydrochloride
1-[[2-(4-Chlorophenyl)-4,4-dimethyl-1-cyclohexen-1-yl]methyl]piperazine diHCL
1-((2-(4-chlorophenyl)-4,4-dimethylcyclohex-1-enyl)methyl)piperazine hydrochloride
1-((2-(4-chlorophenyl)-4,4-dimethylcyclohex-1-enyl)methyl)piperazine dihydrochloride
1-[[2-(4-chlorophenyl)-4,4-dimethyl-cyclohexen-1-yl]methyl]piperazine dihydrochloride
1-{[2-(4-Chlorophenyl)-4,4-dimethyl-1-cyclohexen-1-yl]methyl}piperazine dihydrochloride
1-{[2-(4-chlorophenyl)-4,4-dimethylcyclohex-1-en-1-yl]methyl}piperazine dihydrochloride
1-((4-Chloro-5,5-dimethyl-3,4,5,6-tetrahydro-[1,1'-biphenyl]-2-yl)methyl)piperazine 2HCl
Piperazine, 1-[[2-(4-chlorophenyl)-4,4-dimethyl-1-cyclohexen-1-yl]methyl]- (Dihydrochloride)
1-[[2-(4-chlorophenyl)-4,4-dimethyl-1-cyclohexen-1-yl] methyl]-Piperazine, hydrochloride (1:2)
1-((4'-Chloro-5,5-dimethyl-3,4,5,6-tetrahydro-[1,1'-biphenyl]-2-yl)methyl)piperazine dihydroch
Piperazine, 1-[[2-(4-chlorophenyl)-4,4-dimethyl-1-cyclohexen-1-yl]methyl]-, hydrochloride (1:2)
1-((4'-chloro-5,5-demethyl-3,4,5,6-tetrahydro-[1,1'-biphenyl-2yl]methyl)piperazine dihydrochloride
1-((4'-chloro-5,5-dimethyl-3,4,5,6-tetrahydro-[1,1'-biphenyl]-2-yl)methyl)piperazine dihydrochloride
1-((4'-Chloro-5,5-dimethyl-3,4,5,6-tetrah ydro-[1,1'-biphenyl]-2-yl)methy)piperazine dihydrochloride
[Molecular Formula]

C19H27ClN2.2(HCl)
[MDL Number]

MFCD28334264
[MOL File]

1628047-87-9.mol
[Molecular Weight]

391.806
Chemical PropertiesBack Directory
[storage temp. ]

Inert atmosphere,Room Temperature
[InChI]

InChI=1S/C19H27ClN2.ClH/c1-19(2)8-7-16(14-22-11-9-21-10-12-22)18(13-19)15-3-5-17(20)6-4-15;/h3-6,21H,7-14H2,1-2H3;1H
[InChIKey]

NRMARNSPIXWGDD-UHFFFAOYSA-N
[SMILES]

C(N1CCNCC1)C1CCC(C)(C)CC=1C1C=CC(Cl)=CC=1.Cl
[CAS DataBase Reference]

1628047-87-9
Safety DataBack Directory
[Symbol(GHS) ]


GHS07
[Signal word ]

Warning
[Hazard statements ]

H335-H319-H315
[Precautionary statements ]

P264-P280-P305+P351+P338-P337+P313P-P264-P280-P302+P352-P321-P332+P313-P362
Hazard InformationBack Directory
[Uses]

1-{[2-(4-Chlorophenyl)-4,4-dimethylcyclohex-1-en-1-yl]methyl}piperazine Dihydrochloride is an intermediate used in the preparation of Venetoclax (A112430), which is a potent and selective BCL-2 inhibitor with potent antitumour activity while sparing platelets. Venetoclax is used to treat chronic lymphocytic leukaemic cells and estrogen receptor-positive breast cancer.
[Synthesis]

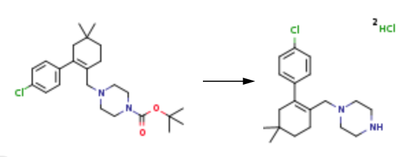
To a solution of tert-butyl 4-((2-(4-chlorophenyl)-4,4-dimethylcyclohex-1 -enyl)methyl)piperazine-1 - carboxylate 6 (30 g, 0.072 mol) in MeOH (20 mL) was added conc.HCI (50 mL). The reaction was stirred for 24 hours and then concentrated under reduced pressure. A saturated solution of NazCCh was added to adjust the pH to 8-9, and the mixture was extracted with dichloromethane (2x200 mL). The combined extracts were washed with brine, dried (NazSC ), filtered, and concentrated under reduced pressure. The oil product was treated with MeOH/HCI (g) (3.0 M, 500 mL) and stirred for 1 hour, then concentrated under reduced pressure to get the product 1-((4'-chloro-5,5-dimethyl-3,4,5,6-tetrahydro-[1,1'-biphenyl]-2-yl)methyl)piperazine dihydrochloride (23 g, 83%).
1-((4'-chloro-5,5-dimethyl-3,4,5,6-tetrahydro-[1,1'-biphenyl]-2-yl)methyl)piperazine dihydrochloride
Spectrum DetailBack Directory
[Spectrum Detail]

1-((4'-chloro-5,5-dimethyl-3,4,5,6-tetrahydro-[1,1'-biphenyl]-2-yl)methyl)piperazine dihydrochloride(1628047-87-9)1HNMR
1628047-87-9 suppliers list
Company Name: Hangzhou ICH Biofarm Co., Ltd
Tel: +86-0571-28186870; +undefined8613073685410 , +undefined8613073685410
Website: http://www.ichemie.com/
Company Name: Capot Chemical Co.,Ltd.
Tel: +86-(0)57185586718; +8613336195806 , +8613336195806
Website: http://www.capot.com
Company Name: Beijing Cooperate Pharmaceutical Co.,Ltd
Tel: 010-60279497
Website: http://www.cooperate-pharm.com
Company Name: Shanghai Yingrui Biopharma Co., Ltd.
Tel: +86-21-33585366 - 03@
Website: www.shyrchem.com
Company Name: ATK CHEMICAL COMPANY LIMITED
Tel: +undefined-21-51877795
Website: www.atkchemical.com
Company Name: career henan chemical co
Tel: +86-0371-86658258 +8613203830695 , +8613203830695
Website: www.coreychem.com/
Company Name: Shenzhen Nexconn Pharmatechs Ltd
Tel: +86-755-89396905 +86-15013857715 , +86-15013857715
Website: www.chemicalbook.com/ShowSupplierProductsList31188/0_EN.htm
Company Name: Nanjing Dolon Biotechnology Co.,Ltd.
Tel: 18905173768
Website: www.chemicalbook.com/ShowSupplierProductsList31215/0_EN.htm
Company Name: Hangzhou Cyanochem Co., Ltd.
Tel: +86 17788583750
Website: www.chemicalbook.com/ShowSupplierProductsList31271/0_EN.htm
Company Name: Shanghai Yingrui Biopharma Co.,Ltd
Tel: 21-33585366
Website: www.shyrchem.com
Company Name: Antai Fine Chemical Technology Co.,Limited
Tel: 18503026267 , 18503026267
Website: www.chemicalbook.com/ShowSupplierProductsList1980510/0_EN.htm
Company Name: SHANGHAI T&W PHARMACEUTICAL CO., LTD.
Tel: +86-021-61551413 +8618813727289 , +8618813727289
Website: http://www.trustwe.com/
Company Name: Career Henan Chemica Co
Tel: +86-0371-86658258 +8613203830695 , +8613203830695
Website: www.coreychem.com/
Company Name: Shanghai Rochi Pharmaceutical Co.,Ltd.
Tel: 21-38751876 +8615000076078 , +8615000076078
Website: http://www.rochipharma.com/en/index.aspx
Company Name: Shanxi Xuanran Import and Export Trade Co., Ltd.
Tel: +8617735180244 , +8617735180244
Website: www.xuanranglobal.com
Company Name: Unipharm pharmaceutical industry Co., Ltd
Tel: 536-8266195 +8613953676784 , +8613953676784
Website: http://www.unipharm-sd.com/
Company Name: AFINE CHEMICALS LIMITED
Tel: +86-0571-85134551
Website: www.afinechem.com/index.html
Company Name: Hefei Hirisun Pharmatech Co., Ltd
Tel: +8615056975894 , +8615056975894
Website: www.hirisunpharm.com
Tags:1628047-87-9 Related Product Information
1228780-72-0 1121599-68-5 1228780-51-5 573762-62-6 956104-40-8 1235865-77-6 951753-87-0 1257044-57-7 1628047-84-6 1257044-40-8 915087-26-2 1235865-75-4 1228779-96-1 749927-69-3

  • HomePage | Member Companies | Advertising | Contact us | Previous WebSite | MSDS | CAS Index | CAS DataBase | Privacy | Terms | About Us
  • All products displayed on this website are only for non-medical purposes such as industrial applications or scientific research, and cannot be used for clinical diagnosis or treatment of humans or animals. They are not medicinal or edible.
    According to relevant laws and regulations and the regulations of this website, units or individuals who purchase hazardous materials should obtain valid qualifications and qualification conditions.
  • Copyright © 2023 ChemicalBook All rights reserved.