| Identification | Back Directory | [Name]
methyl 5-(2,4-difluorophenyl)-4-methoxy-1H-pyrrole-3-carboxylate | [CAS]
1902955-29-6 | [Synonyms]
Fexuprazan P-4 Abeprazan Impurity 1 Fexuprazan intermediate Methyl 5-(2,4-Difluorophenyl)-4-methoxypyrrole-3-carboxylate methyl 5-(2,4-difluorophenyl)-4-methoxy-1H-pyrrole-3-carboxylate 1H-Pyrrole-3-carboxylic acid, 5-(2,4-difluorophenyl)-4-methoxy-, methyl ester 5-?(2,?4-?difluorophenyl)?-?4-?methoxy-?1H-?Pyrrole-?3-?carboxylic acid methyl ester 2-Butenoicacid,2-hydroxy-4-[3-methyl-4-(phenylmethoxy)phenyl]-4-oxo-,methylester,(5Z)- | [Molecular Formula]
C13H11F2NO3 | [MDL Number]
MFCD32689534 | [MOL File]
1902955-29-6.mol | [Molecular Weight]
267.23 |
| Chemical Properties | Back Directory | [Boiling point ]
409.4±45.0 °C(Predicted) | [density ]
1.314±0.06 g/cm3(Predicted) | [pka]
13.95±0.50(Predicted) | [InChI]
InChI=1S/C13H11F2NO3/c1-18-12-9(13(17)19-2)6-16-11(12)8-4-3-7(14)5-10(8)15/h3-6,16H,1-2H3 | [InChIKey]
DMNUDNHYRCDZDC-UHFFFAOYSA-N | [SMILES]
N1C(C2=CC=C(F)C=C2F)=C(OC)C(C(OC)=O)=C1 |
| Hazard Information | Back Directory | [Uses]
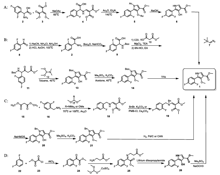
Methyl 5-(2,4-difluorophenyl)-4-methoxy-1H-pyrrole-3-carboxylate is used as an intermediate for fexuprazan, a novel potassium-competitive acid blocker for the treatment of gastroesophageal reflux disease (GERD). | [Synthesis]
Methyl 5-(2,4-difluorophenyl)-4-methoxy-1H-pyrrole-3-carboxylate can be prepared by the following routes[1]:
 | [References]
[1] TING WANG. Scalable Synthesis of the Key Fexuprazan Intermediate and Investigation of a Reaction Mechanism.[J]. ACS Omega, 2024, 9 36: 37942-37952. DOI:10.1021/acsomega.4c04507. |
|
|