ChemicalBook--->CAS DataBase List--->1905376-96-6

1905376-96-6

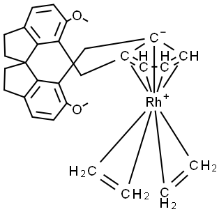
1905376-96-6 Structure

1905376-96-6 Structure
IdentificationBack Directory
[Name]

(Diethylene)(13bS)-7,13-Dimethoxy-1,2,3,4,10,12-hexahydro-8H-cyclopenta[5,6]cyclonona[1,2,3-cd:1,9,8-c'd']diindene Rhodium(I)
[CAS]

1905376-96-6
[Synonyms]

(Diethylene)(13bS)-7,13-Dimethoxy-1,2,3,4,10,12-hexahydro-8H-cyclopenta[5,6]cyclonona[1,2,3-cd:1,9,8-c'd']diindene Rhodium(I)
1905376-96-6 suppliers list
Company Name: Greenherbs Science and Technology Development Co., Ltd.  
Tel: 010-61136123
Website: www.greenherbs.com.cn
Company Name: Shanghai Haohong Pharmaceutical Co., Ltd.  
Tel: 400-8210725 4008210725
Website: https://www.leyan.com/
Tags:1905376-96-6 Related Product Information
1619901-87-9 1186392-32-4 1710476-21-3 1037287-79-8

  • HomePage | Member Companies | Advertising | Contact us | Previous WebSite | MSDS | CAS Index | CAS DataBase | Privacy | Terms | About Us
  • All products displayed on this website are only for non-medical purposes such as industrial applications or scientific research, and cannot be used for clinical diagnosis or treatment of humans or animals. They are not medicinal or edible.
    According to relevant laws and regulations and the regulations of this website, units or individuals who purchase hazardous materials should obtain valid qualifications and qualification conditions.
  • Copyright © 2023 ChemicalBook All rights reserved.