| Identification | Back Directory | [Name]
(1S,2S)-(-)-[1,2-CYCLOHEXANEDIAMINO-N,N'-BIS(3,5-DI-T-BUTYLSALICYLIDENE)]CHROMIUM(III)CHLORIDE | [CAS]
219143-92-7 | [Synonyms]
1S,2S)-(+)-[1,2-Cyclohexanediamino-N,N' -bis(3,5-di-t-butylsalicylidene)]chromium(III) chloride -Bis(3,5-di-tert-butylsalicylidene)-1,2-cyclohexanediaminochromium(III) chloride (1S,2S)-(+)-〔1,2-Cyclohexanediamino-N,N-bis(3,5-di-t-butylsalicylidene)〕chromium(Ⅲ) Chloride (1S,2S)-(-)-[1,2-CYCLOHEXANEDIAMINO-N,N'-BIS(3,5-DI-T-BUTYLSALICYLIDENE)]CHROMIUM(III)CHLORIDE (1S,2S)-(+)-(1,2-Cyclohexanediamino-N,N'-bis(3,5-di-tert-butylsalicylidene))chromium(III)chloride Chromium,chloro[[2,2'-[(1S,2S)-1,2-cyclohexanediylbis[(nitrilo-kN)methylidyne]]bis[4,6-bis(1,1-dimethylethyl)phenolato-kO]](2-)]-, (SP-5-13)- | [Molecular Formula]
C36H52ClCrN2O2 | [MDL Number]
MFCD02684556 | [MOL File]
219143-92-7.mol | [Molecular Weight]
632.26 |
| Questions And Answer | Back Directory | [Reaction]
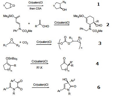
- Catalyst for the asymmetric ring-opening of meso-epoxides and for the kinetic resolution of terminal epoxides.
- Precatalyst for asymmetric Diels-Alder and hetero Diels-Alder reactions.
- Catalyst for copolymerization of CO2 and epoxides.
- Catalyst for enantioselective alkylation of tributyltin enolates.
- Enantioselective addition of Me2Zn to aldehydes.
- Enantioselective intramolecular addition of tertiary enamides to ketones.
- Asymmetric iodocyclization.
- Catalytic intermolecular linear allylic C-H animation.
- Cocatalyst for enantioselective ring opening of epoxides with fluoride.

|
|
| Company Name: |
Energy Chemical
|
| Tel: |
021-021-58432009 400-005-6266 |
| Website: |
http://www.energy-chemical.com |
| Company Name: |
Sigma-Aldrich
|
| Tel: |
021-61415566 800-8193336 |
| Website: |
https://www.sigmaaldrich.cn |
| Company Name: |
Lynnchem
|
| Tel: |
86-(0)29-85992781 17792393971 |
| Website: |
http://www.lynnchem.com/ |
| Company Name: |
Novachemistry
|
| Tel: |
44-20819178-90 02081917890 |
| Website: |
https://www.novachemistry.com/ |
|